Предмет: Алгебра,
автор: Amaria
Помогите решить пожалуйста
(с решением)
Приложения:
Ответы
Автор ответа:
0
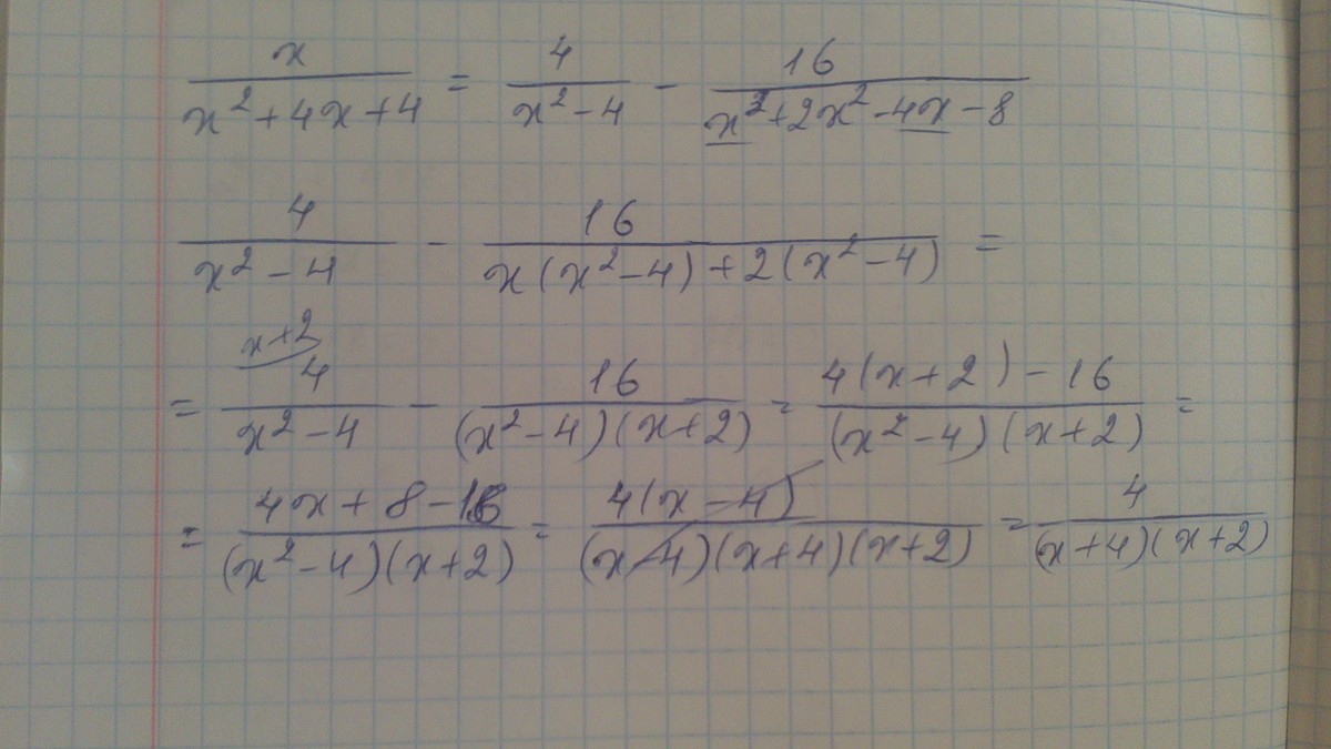
Решение на фото. Удачи.
Приложения:
Автор ответа:
0
x/(x+2)2 = 4/(x-2)(x+2) – 16/x+2)(x2
-4)
(x2
-2x -4x -8 +16)/(x+2)2(x-2) = 0
X2 -6x +8=0; ОДЗ:
По теореме, обратной т.Виета x1= 2 не удовлетворяет ОДЗ
X2
=4
Ответ: х = 4
Приложения:
Похожие вопросы
Предмет: Английский язык,
автор: Pakemon33
Предмет: Алгебра,
автор: ftyfyuftftftf
Предмет: Химия,
автор: alabam2005
Предмет: Математика,
автор: kristin0
Предмет: Математика,
автор: маk