Предмет: Алгебра, автор: djsejxokewk

Помогите.................

Приложения:

Ответы

Автор ответа: lidiasaraa3
0

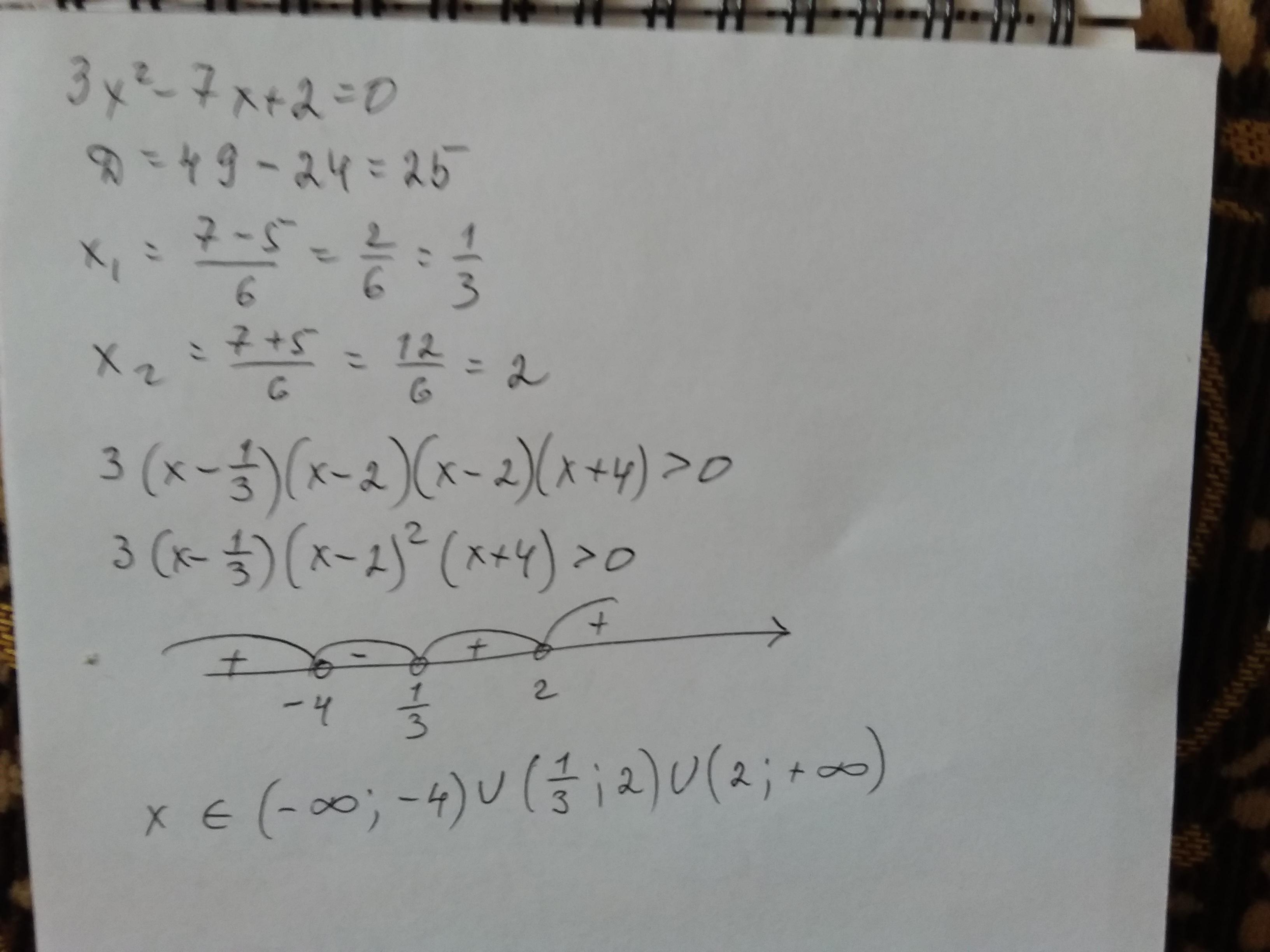
на фото....................

Приложения:
Автор ответа: solving05
0

Ответ:

Объяснение:

Решение в приложении

Приложения:
Похожие вопросы
Предмет: Английский язык, автор: eva66073
I. Choose the correct form of the verbs 1. Bob and Jack (play) chess when their mum came home. a. are playing b. were playing c. played 2. Professor (tell) us about the Political System of the USA last week. a. will tell b. has told c. told 3. Peter (help) Susan with her project at 2 o’clock tomorrow. a. will help b. will be helping c. helps 4. … you (finish) your book yet? a. Did … finish b. Have … finished c. Do … finish 5. How often … you friend (visit) his grandparents? a. … does … visit b. … is … visit c. … does … visits 6. We (go) to the cinema tomorrow. Do you want to join us? a. shall go b. go c. do go II. Form the necessary derivatives from the words on the right and complete the sentences. 1. The USA is a large country with many … wonders. 2. Can you speak Spanish …? 3. It is very important …! 4. Do you know any … traditions of France? 5. I would like to keep to a … diet. NATURE FLUENT INFORM CULTURE HEALTH III. Choose the right variant 1. … of people travel abroad and enjoy it. a. Thousand b. Thousands 2. One can see … of stars in the night sky. a. Million b. Millions 3. There are only four … pupils in this school. a. Hundred b. Hundreds 4. Jim climbed out of the boat onto the … of the river. a. Bank b. Shore 5. They have a beautiful house on the … of Lake Geneva. a. Bank b. Shore 6. Where … the money? a. Is b. Are 7. … the trousers in the wardrobe? a. Is b. Are 8. I saw a strange man … up the stairs. a. Walked b. Walking c. To walk 9. I would like you … something for me. a. To do b. Doing c. Do 10. Children were made … a long poem. a. Learn b. To learn c. Learning
Предмет: География, автор: лерочка143