Предмет: Алгебра,
автор: sasha123231
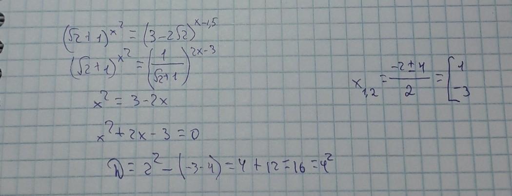
Напишите пожалуйста решение. ( в ответе должно получиться х1=-1; х2=3)
Приложения:
Ответы
Автор ответа:
0
Ответ:
вот на фотографии решение
Приложения:
Похожие вопросы
Предмет: Другие предметы,
автор: polisha4589ua5
Предмет: Математика,
автор: fordegor2870
Предмет: Алгебра,
автор: polinaa57
Предмет: Математика,
автор: PPEP
Предмет: Математика,
автор: полина4ком