Предмет: Алгебра, автор: Vinri

Помогите решить уравнение!

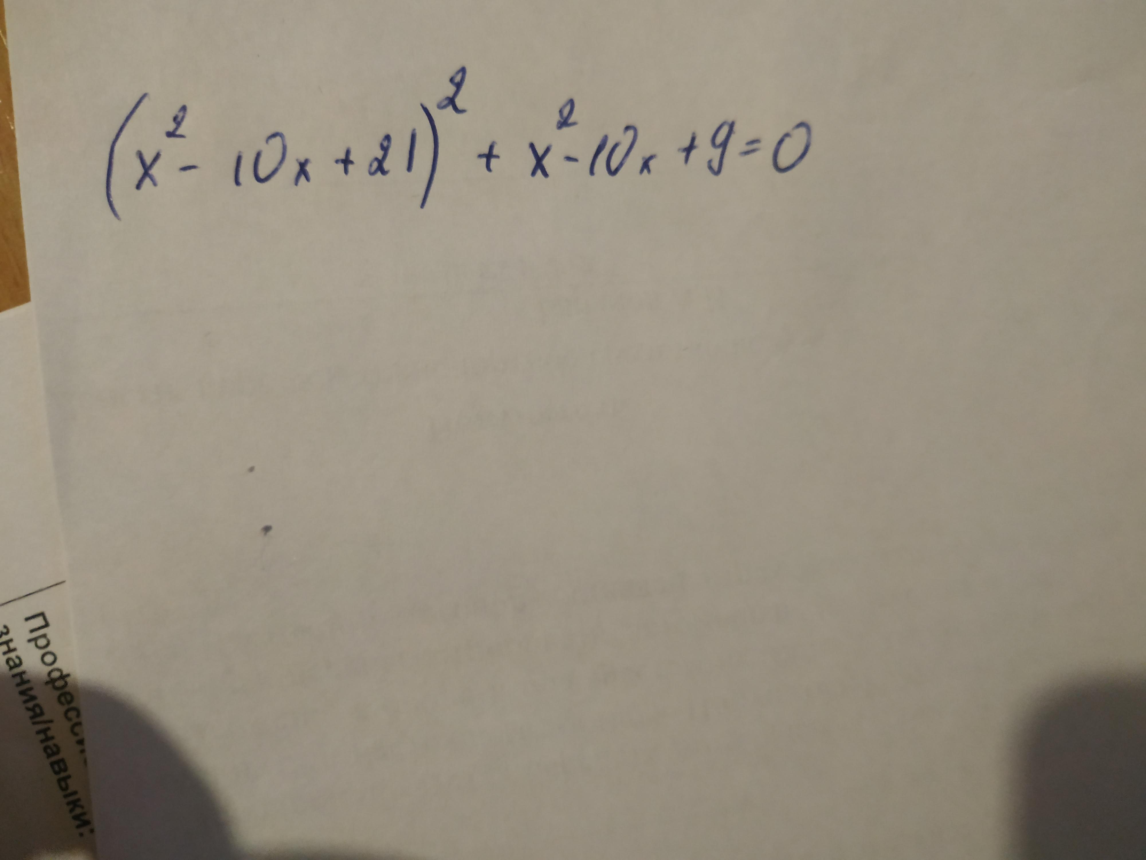
Приложения:

Ответы

Автор ответа: drakerton
1

Ответ:

x_1 = 5\\\\x_2 = 5 - \sqrt{7}\\\\x_3 = 5 + \sqrt{7}

Объяснение:

Решим через ввод новой переменной:

x² - 10x + 21 = t

Получаем уравнение:

t^2 + t - 12 = 0\\\\D = 1 + 48 = 49\\\\\sqrt{D} = 7\\\\t_1 = \frac{-1-7}{2} = -\frac{8}{2} = -4\\\\t_2 = \frac{-1+7}{2} = \frac{6}{2} = 3

1) x^2 - 10x + 21 = -4\\\\x^2 - 10x + 25 = 0\\\\D = 100 - 100 = 0\\\\x_1 = \frac{10}{2} = 5\\\\2) x^2 - 10x + 21 = 3\\\\x^2 - 10x + 18 = 0\\\\D = 100 - 72 = 28\\\\x_2 = \frac{10-2\sqrt{7}}{2} = 5 - \sqrt{7}\\\\x_3 = \frac{10+2\sqrt{7}}{2} = 5 + \sqrt{7}


Vinri: Спасибо большое за решение, но можете объяснить почему при введении новой переменной получили t^2+t-12=0 Меня интересует откуда - 12?
drakerton: x² - 10x + 21 = t
x² - 10x + 9 = x² - 10x + 21 - 12 = t - 12
drakerton: 9 - это 21 минус 12. Поэтому от нашего t мы отнимаем 12,. чтобы получить x² - 10x + 9
Похожие вопросы
Предмет: Математика, автор: deniscernenko676
Предмет: Физика, автор: Bestbrat
Предмет: Математика, автор: паооиер