Предмет: Алгебра,
автор: romakim02kum
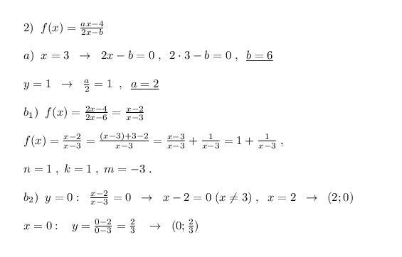
A) Найдите обратную функцию для функции f(x) =
ax−4/2x−b
Асимптоты функции имеют уравнения x = 3 , y = 1 . Найдите значение переменных a и b
Ответы
Автор ответа:
24
Смотри вложение ...............................................................................................
Приложения:
Похожие вопросы
Предмет: Литература,
автор: annagrossman124
Предмет: География,
автор: thelunaaaa
Предмет: Физика,
автор: uradionova14
Предмет: Математика,
автор: лиза1747