Предмет: Химия,
автор: увася228666
Пожалуйста решите побыстрей)
Приложения:
Ответы
Автор ответа:
0
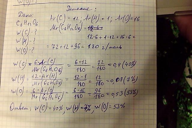
Ответ:
Объяснение:вот, держи
Приложения:
Автор ответа:
0
Вот я сам решил ваш ответ вашего задания.
Приложения:
Похожие вопросы
Предмет: Қазақ тiлi,
автор: Kakamakaka51
Предмет: Алгебра,
автор: katrinavilicaya
Предмет: Английский язык,
автор: kristy32288
Предмет: Литература,
автор: упраднение148
Предмет: Литература,
автор: имашками