Предмет: Математика, автор: daniel397

ПОМОГИТЕ ПОЖАЛУЙСТА, СРОЧНО!!!!!
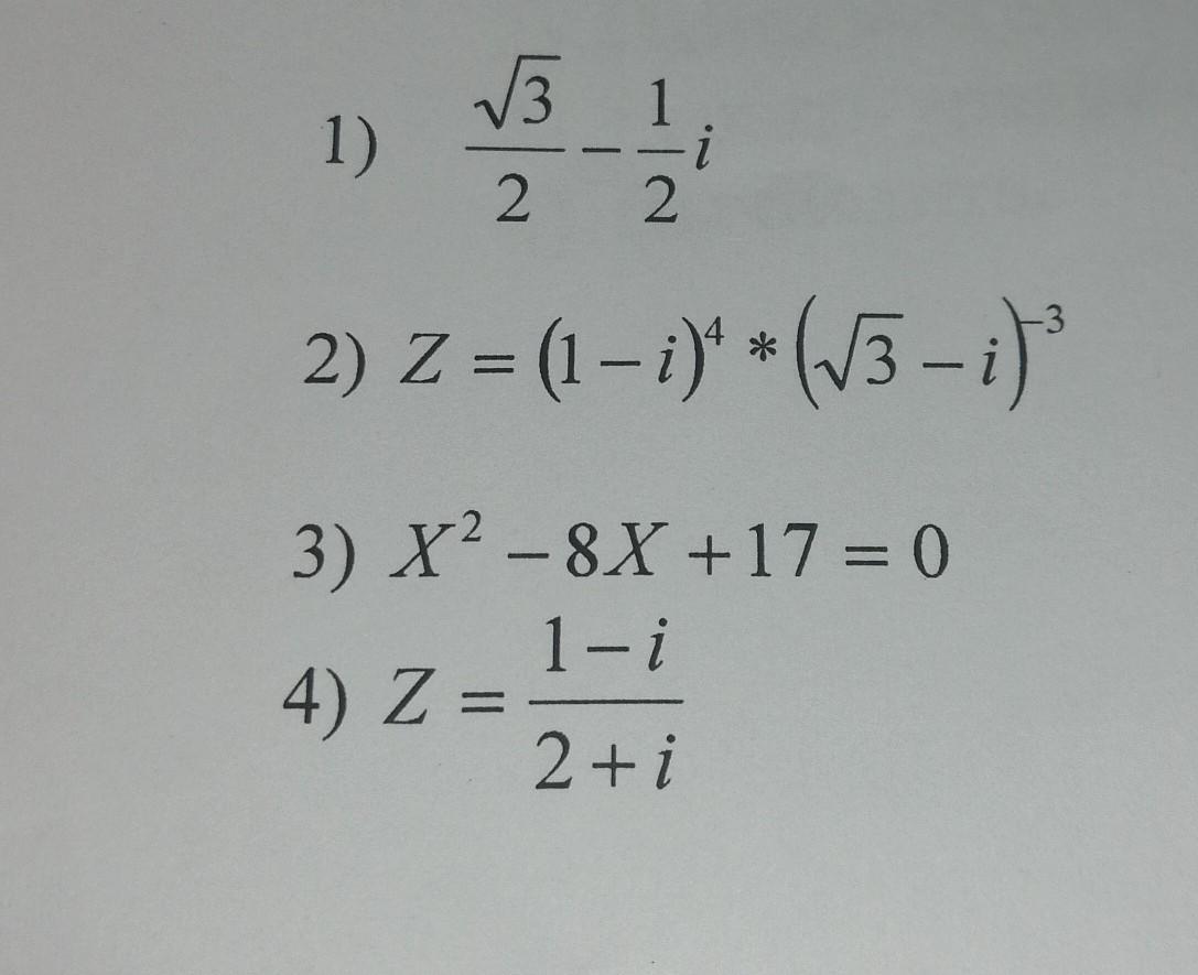
1)Указать комплексное число на плоскости C, перевести в другую форму.
2)Найти модуль и аргумент комплексного числа z
3)Решить уравнение
4)Вычислить

Приложения:

Ответы

Автор ответа: NNNLLL54
0

1)\; \; z=\frac{\sqrt3}{2}-\frac{1}{2}\, i\\\\z=a+bi\; \; ,\; \; |z|=\sqrt{a^2+b^2}\; \; ,\\\\argz=arctg\frac{b}{a}\; \; ,\; \; -\pi <argz\leq \pi \; \; \; (a>0\; ,\; b<0)\\\\|z|=\sqrt{\frac{3}{4}+\frac{1}{4}}=1\\\\argz=arctg(-\frac{1}{\sqrt3})=-arctg\frac{1}{\sqrt3}=-\frac{\pi }{6}\\\\z=cos(-\frac{\pi }{6})+i\cdot sin(-\frac{\pi }{6})

2)\; \; z=(1-i)^4\cdot (\sqrt3-i)^{-3}\\\\(1-i)^4=(\, (1-i)^2\, )^2=(\, 1-2i+\underbrace {i^2}_{-1}\, )^2=-2i\\\\(\sqrt3-i)^{-3}=(\, (\sqrt3-i)^{-1}\, )^{3}=(\frac{1}{\sqrt3-i}})^3=(\frac{\sqrt3+i}{(\sqrt3-i)(\sqrt3+i)})^3=(\frac{\sqrt3+i}{3-i^2})^3=\\\\=(\frac{\sqrt3+i}{3+1})^3=\frac{(\sqrt3+i)^3}{4^3}=\frac{1}{4^3}\cdot (3\sqrt3+3\cdot 3i+3\sqrt3i^2+i^3)=\\\\=\frac{1}{4^3}\cdot (3\sqrt3+9i-3\sqrt3-i)=\frac{1}{4^3}\cdot 8i=\frac{1}{8}\cdot i\\\\z=-2i\cdot \frac{1}{8}\cdot i=-\frac{1}{4}\cdot i^2=\frac{1}{4}

z=\frac{1}{4}\; \; \Rightarrow \; \; |z|=\frac{1}{4}\; \; ,\; \; argz=0\\\\\\3)\; \; x^2-8x+17=0\\\\D/4= 4^2-17=-1\; \; ,\; \; z_1=4-\sqrt{-1}=4-i\; \; ,\; \; z_2=4+i

4)\; \; z=\frac{1-i}{2+i}=\frac{(1-i)(2-i)}{(2+i)(2-i)}=\frac{2-i-2i+i^2}{4-i^2}=\frac{2-3i-1}{4-(-1)}=\frac{1-3i}{5}=\frac{1}{5}-\frac{3}{5}\, i

Похожие вопросы
Предмет: Математика, автор: oleksandradmytruk
Предмет: Обществознание, автор: mixajlova2007
Срочно!! 40 баллов!

Б) Маша решает, какую цену назначить своим тортикам. Если Маша поставит всего 500 рублей, все могут подумать, что они такие же, как предыдущие тортики. А если она поставит цену 1000 рублей? Тогда покупатели могут решить, что похожие тортики у Лизы интереснее и стоят они дешевле – 900 рублей.

Что же делать Маше? Как Маше не прогореть и понять, сколько покупателей и по какой цене готовы купить её тортики? Маша разделила всех своих клиентов на четыре типа. Первый, любитель бисквитов, готов заплатить 500 рублей. Второй, любитель крема, остро нуждается в тортике на день рождения друга, потому готов заплатить 600 рублей. Третий, любитель кокосовой стружки, подумал: это же тортик со вкусом кокоса, я готов заплатить за него 700 рублей! Четвёртый настолько любит фисташки и Машины тортики, что готов отдать за торт целых 800 рублей.
Предмет: Математика, автор: Аноним