Предмет: Алгебра,
автор: liana498
Номер 1.82 ДАЮ 20 балл
Приложения:
ahaev12:
Какой класс?
И кто автор учебника?
Ответы
Автор ответа:
1
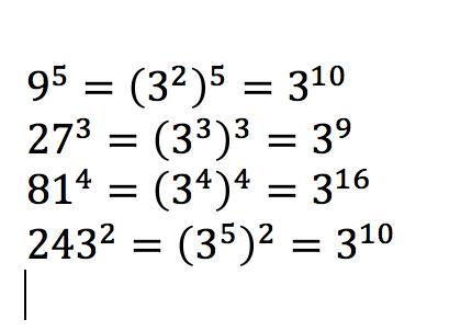
Ответ:
Объяснение:
Приложения:
А как ты написал ответ? Это картинка?
Похожие вопросы
Предмет: Математика,
автор: lolkeks668
Предмет: Алгебра,
автор: angelina181134
Предмет: Геометрия,
автор: gepader196
Предмет: Биология,
автор: Розалия11111
Предмет: Математика,
автор: 030381olga