Предмет: Алгебра,
автор: 0000katya0000
ПОМОГИТЕ ПОЖАЛУЙСТА РЕШИТЬ НЕРАВЕНСТВА
Приложения:
Ответы
Автор ответа:
1
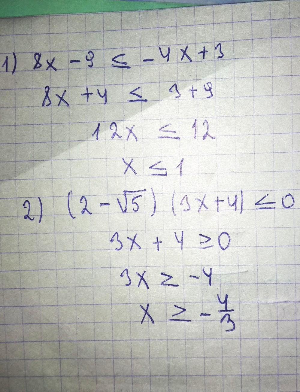
Ответ:
Пиши, если что будет не понятно
Приложения:
Автор ответа:
1
надеюсь чем нибудь помогла)
Приложения:
Похожие вопросы
Предмет: Алгебра,
автор: shyngysshokan2008
Предмет: Биология,
автор: Аноним
Предмет: География,
автор: bebra31313
Предмет: История,
автор: zakhadihadi
Предмет: Математика,
автор: математика587