Предмет: Математика, автор: buuyy

Найдите производную функции

Приложения:

Ответы

Автор ответа: uhhboi
1

Ответ:

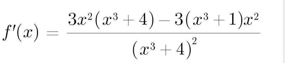
ответ на фото(ответ не отправляется, мало символов)

Приложения:

buuyy: А можно ещё исследовать когда F'(x)>0 и когда F'(x)<0?
buuyy: Тип при каком x(Промежуток) F'(x)>0
uhhboi: x принадлежит R \ минус кубический корень из 4, 0
uhhboi: x £ R \ {-sqrt3 4, 0}
uhhboi: это было при. f'(x)> 0
uhhboi: при f'(x)<0 x £ ø
uhhboi: ну и равно 0 приx= 0
uhhboi: УСЁ
Автор ответа: Nereklamuok
1

Ответ:

\frac{9x^{2} }{x^{6}+8x^{3}+16}

Пошаговое объяснение:

(\frac{x^{3}+1 }{x^{3}+4})' = \frac{(x^{3}+1)' * (x^{3}+4) - (x^{3}+4)' * (x^{3}+1)}{(x^{3}+4)^{2}}   = \frac{3x^{2} * (x^{3}+4) - 3x^{2} * (x^{3}+1)}{(x^{3}+4)^{2}} = \frac{3x^{5} +12x^{2} - 3x^{5} - 3x^{2}}{x^{6}+8x^{3}+16} = \frac{9x^{2} }{x^{6}+8x^{3}+16}

Похожие вопросы