Предмет: Алгебра,
автор: sabi0000
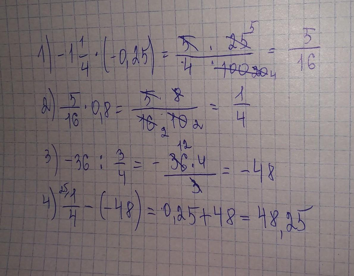
Выполните по действиям:
(-1 1/4)*(-0,25)*0,8-(-36):3/4
Ответы
Автор ответа:
3
Объяснение:
надеюсь что понятно написала
Приложения:
Похожие вопросы
Предмет: Английский язык,
автор: almazbrorus
Предмет: Русский язык,
автор: annavancheva
Предмет: Українська мова,
автор: achornogor120724
Предмет: Обществознание,
автор: dana6663
Предмет: Биология,
автор: Lizamama134