Предмет: Алгебра, автор: fenexufex

Решите пожалуйста подробно только (даю 45 баллов)

Приложения:

Universalka: В последнем задании показатель степени 4/3 или - 4/3 ?

Ответы

Автор ответа: LessonAssistant
1

Ответ:

1) \frac{1}{3}

2) -\frac{7}{5} (-1,4)

3) \frac{4}{25} (0,16)

4) (\frac{1000}{3})^4

Объяснение:

1) \frac{(-3)^3 * 3^5}{(-3)^9}

Определяем знак дроби (так как у числа "-3" третья степень - значит после преобразования число будет отрицательным. Умножаем дроби:

\frac{-3^8}{(-3)^9}

Используем правило \frac{-a}{b} = \frac{a}{-b} = -\frac{a}{b}. Преобразуем число, убирая степень:

-\frac{-3^8}{-19683}

Определяем знак дроби по правилу выше:

-(-\frac{3^8}{19683})

\frac{3^8}{19683}

Представляем число в виде степени:

\frac{3^8}{3^9}

Упрощаем выражение:

\frac{1}{3}

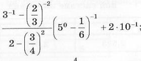
2) \frac{3^{-1} - (\frac{2}{3})^{-2}}{2 - (\frac{3}{4})^{2}} * (5^{0} - \frac{1}{6})^{-1} + 2 * 10^{-1}

Вычисляем значение выражения, содержащего степени и сокращаем дробь:

\frac{\frac{1}{3} - \frac{9}{4}}{2 - \frac{9}{16}} * (1-\frac{1}{6})^{-1}  + 2 * \frac{1}{10}

Сокращаем и вычитаем дробь:

\frac{-\frac{23}{12}}{\frac{23}{16}} * (\frac{5}{6})^{-1}  + \frac{1}{5}

Упрощаем дробь:

-\frac{4}{3}  * \frac{6}{5} + \frac{1}{5}

Сокращаем числа:

-4 * \frac{2}{5} + \frac{1}{5}

Вычисляем оставшееся выражение:

-\frac{8}{5} + \frac{1}{5} = -\frac{7}{5} = -1,4

3) (0,064)^\frac{2}{3}

Преобразуем десятичную дробь в обыкновенную:

(\frac {8}{125})^\frac{2}{3}

Используя формулу (a)^\frac{m}{n} = \sqrt[n]{a^m}:

\sqrt[3]{(\frac{8}{125})^2}

Переписываем корень, используя формулу \sqrt[n]{a^m} = \sqrt[n]{a}^m:

\sqrt[3]{\frac{8}{125}}^2

Вычисляем кубический корень:

(\frac{2}{5})^2

Вычисляем выражение:

\frac{4}{25} = 0,16

4) (2,7*10^-8)^-\frac{4}{3}

Преобразуем дроби:

(\frac{27}{10} * \frac{1}{10^8})^-\frac{4}{3}

Умножаем дроби:

(\frac{27}{10^9})^-\frac{4}{3}

Представляем отрицательную степень в виде положительной:

(\frac{10^9}{27})^\frac{4}{3}

Используя формулу (a)^\frac{m}{n} = \sqrt[n]{a^m}:

\sqrt[3]{(\frac{10^{9} }{27})^{4}}

Переписываем корень, используя формулу \sqrt[n]{a^m} = \sqrt[n]{a}^m:

\sqrt[3]{\frac{10^9}{27}}^4

Вычисляем кубический корень:

(\frac{10^3}{3})^4

Вычисляем степень:

(\frac{1000}{3})^4


elena20092: исправьте, ошибки в кодировке
LessonAssistant: В процессе, однако это сайт не пропускает такую кодировку.
elena20092: ничего же понять нельзя, модераторы всё равно завернут вам его на исправление
LessonAssistant: Это понятно. Я же говорю: В процессе исправления.
elena20092: ОК
LessonAssistant: Проблемы с кодировкой исправлены. Прошу прощения за неудобства :)
Автор ответа: Universalka
0

1)\frac{(-3)^{3}*3^{5} }{(-3)^{9}}=\frac{3^{3}*3^{5}}{3^{9}}=3^{3+5-9=3^{-1}}=\frac{1}{3}\\\\Otvet:\boxed{\frac{1}{3}}

2)\frac{3^{-1}-(\frac{2}{3})^{-2}}{2-(\frac{3}{4})^{2}}*(5^{o} -\frac{1}{6})^{-1}+2*10^{-1}=\frac{\frac{1}{3}-\frac{9}{4}}{2-\frac{9}{16}}*(1-\frac{1}{6})^{-1}+2*\frac{1}{10}=\frac{\frac{4-27}{12}}{\frac{32-9}{16}}*(\frac{5}{6})^{-1}+0,2=-\frac{23*16}{12*23}*\frac{6}{5}+0,2=-\frac{8}{5}+0,2=-1,6+0,2=-1,4\\\\Otvet:\boxed{-1,4}

3)(0,064)^{\frac{2}{3}}=\sqrt[3]{0,064^{2}}=\sqrt[3]{(0,4)^{3})^{2}} =\sqrt[3]{(0,4^{2})^{3} }=0,4^{2}=0,16\\\\Otvet:\boxed{0,16}

4)(2,7*10^{-8})^{\frac{-4}{3}}=(27*10^{-9})^{\frac{-4}{3}}=\sqrt[3]{[3^{3}*(10^{-3})^{3}]^{-4}}=\sqrt[3]{[(3*10^{-3})^{4}]^{-3}}=(3*10^{-3})^{-4}=(81*10^{-12})^{-1}=\frac{10^{12}}{81}

Похожие вопросы
Предмет: История, автор: настя1номер