Предмет: Алгебра,
автор: ndjifucijdns
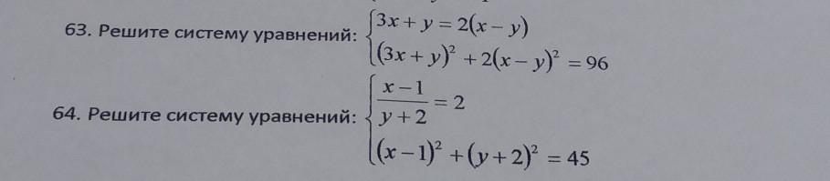
ПОМОГИТЕ ПОЖАЛУЙСТА ОЧЕНЬ СРОЧНО!!!
Приложения:
Ответы
Автор ответа:
1
Ответ:
Объяснение:
!!!!!!!!!!!!!!!!!!!!!!!!!!!!
Приложения:
Похожие вопросы
Предмет: Математика,
автор: KKenyaa
Предмет: Алгебра,
автор: forzeymozey
Предмет: Алгебра,
автор: anastasiaa05
Предмет: Физика,
автор: Butterfly161120
Предмет: Геометрия,
автор: Валера24173