Предмет: Алгебра,
автор: kirillkaraman2005
Помогите срочно
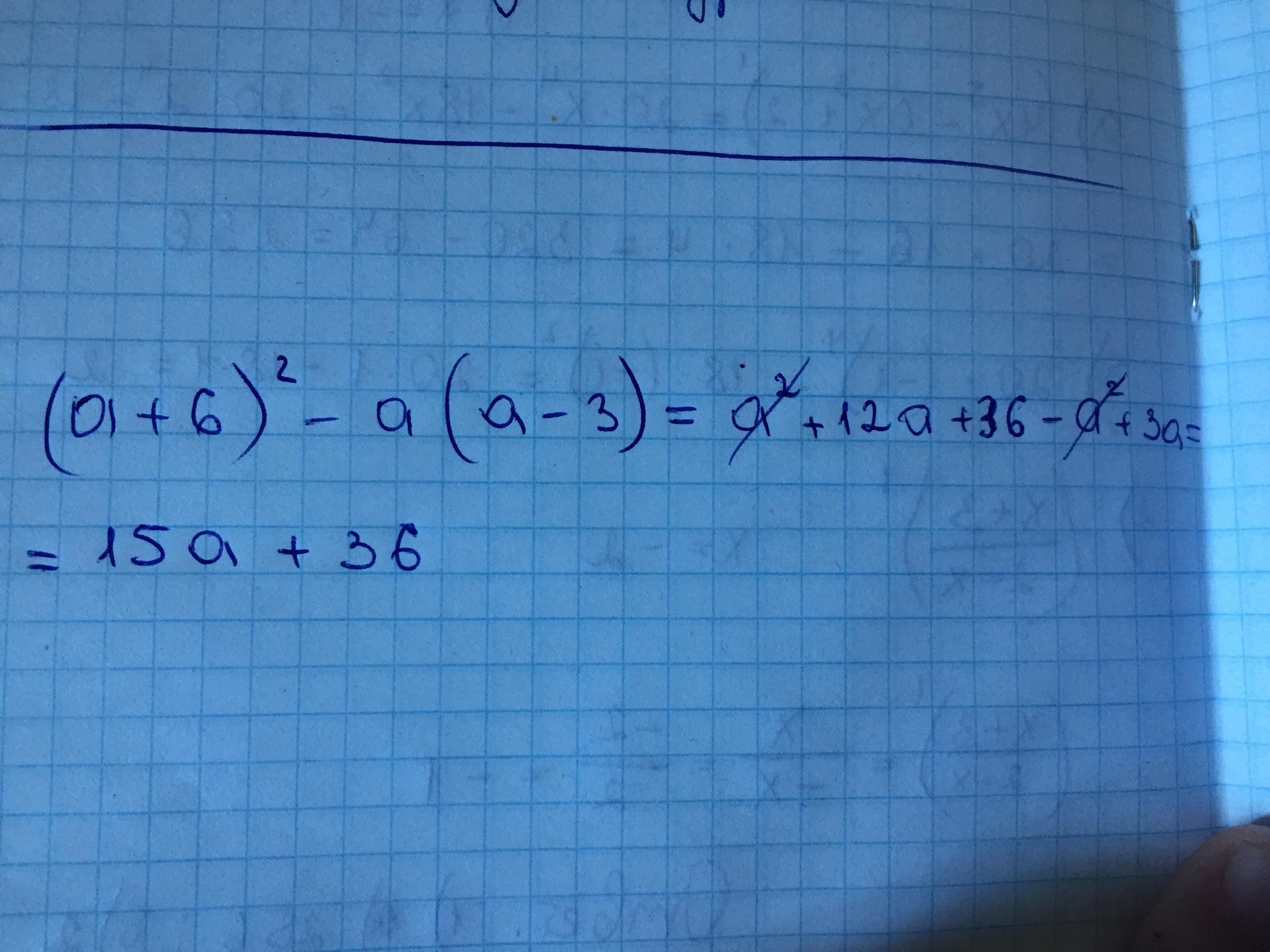
Упростите Выражение
(a+6)²-a(a-3)=
Ответы
Автор ответа:
0
Ответ на фото........
Приложения:
Похожие вопросы
Предмет: Музыка,
автор: sofiefimova961
Предмет: Литература,
автор: Svet13490
Предмет: Английский язык,
автор: amina12102011
Предмет: История,
автор: Ланчоус