Предмет: Алгебра,
автор: der13379
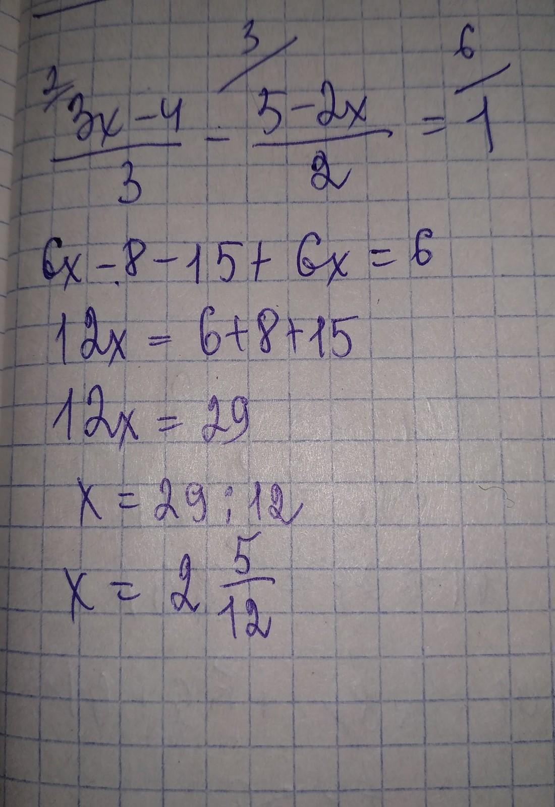
(3x−4)/3-(5−2x)/2= 1
Ответы
Автор ответа:
0
Ответ: решение смотри на фотографии
Объяснение:
Приложения:
evgeniya1309:
29/12 а не 29/23
Описка. Спасибо, исправила
Автор ответа:
0
Объяснение:
если верно поняла написание
Приложения:
Похожие вопросы
Предмет: Информатика,
автор: gamili127pol
Предмет: Геометрия,
автор: dimabarbaris
Предмет: Українська мова,
автор: milanasmadic
Предмет: Литература,
автор: Мишка2282006