Предмет: Алгебра,
автор: fLiPpLapYT
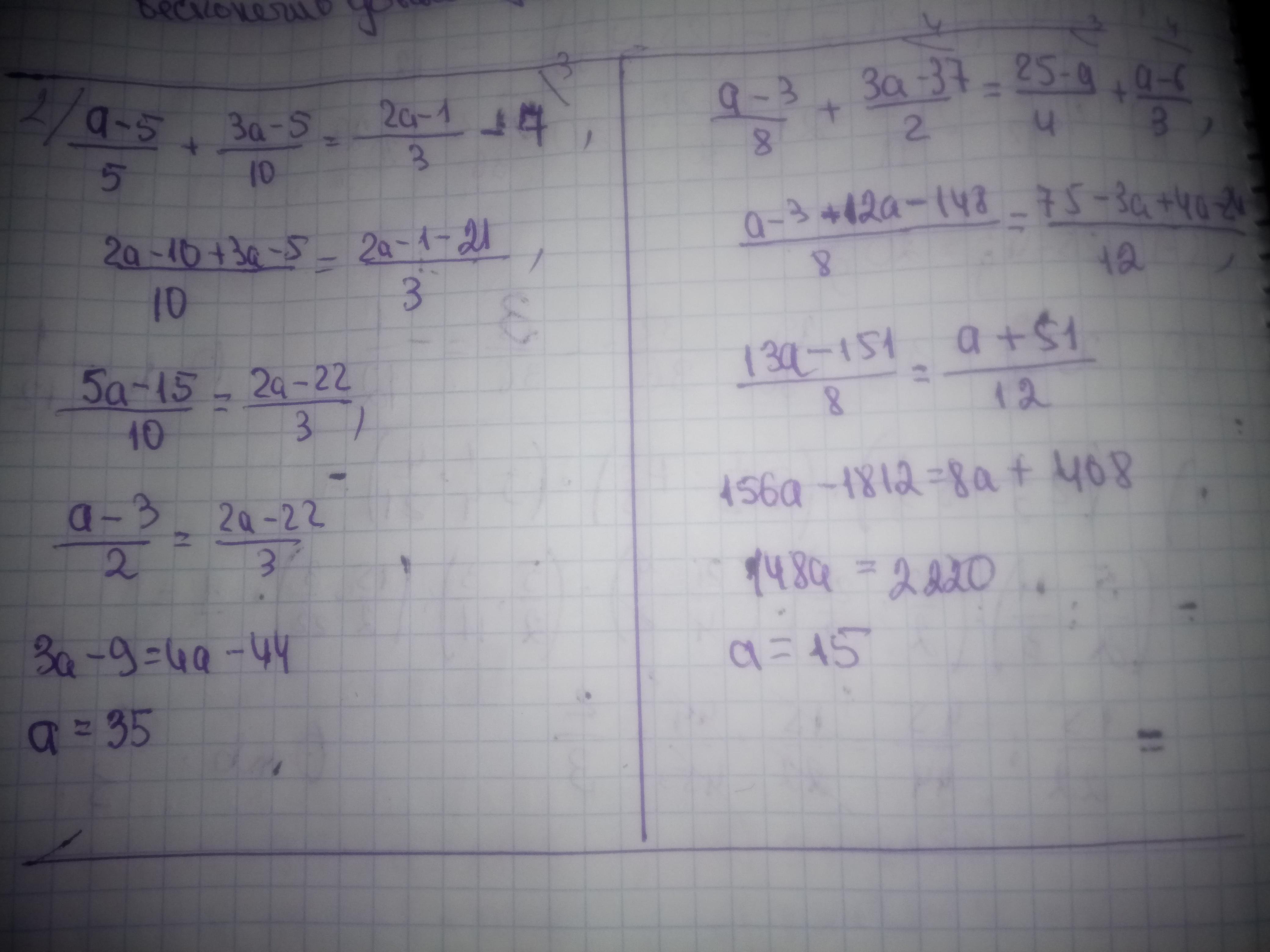
Решите и напишите решение плз)
Приложения:
Ответы
Автор ответа:
1
Решение задания приложено
Приложения:
fLiPpLapYT:
Спасибо большое!
Похожие вопросы
Предмет: Другие предметы,
автор: olexandrvalenkevych
Предмет: Математика,
автор: abak0110s
Предмет: Химия,
автор: ekterinachuprina39
Предмет: История,
автор: kirz121
Предмет: Литература,
автор: Янаумник