Предмет: Алгебра,
автор: ZZZZZSWISSZZZZZ
Алгебра 8 класс.
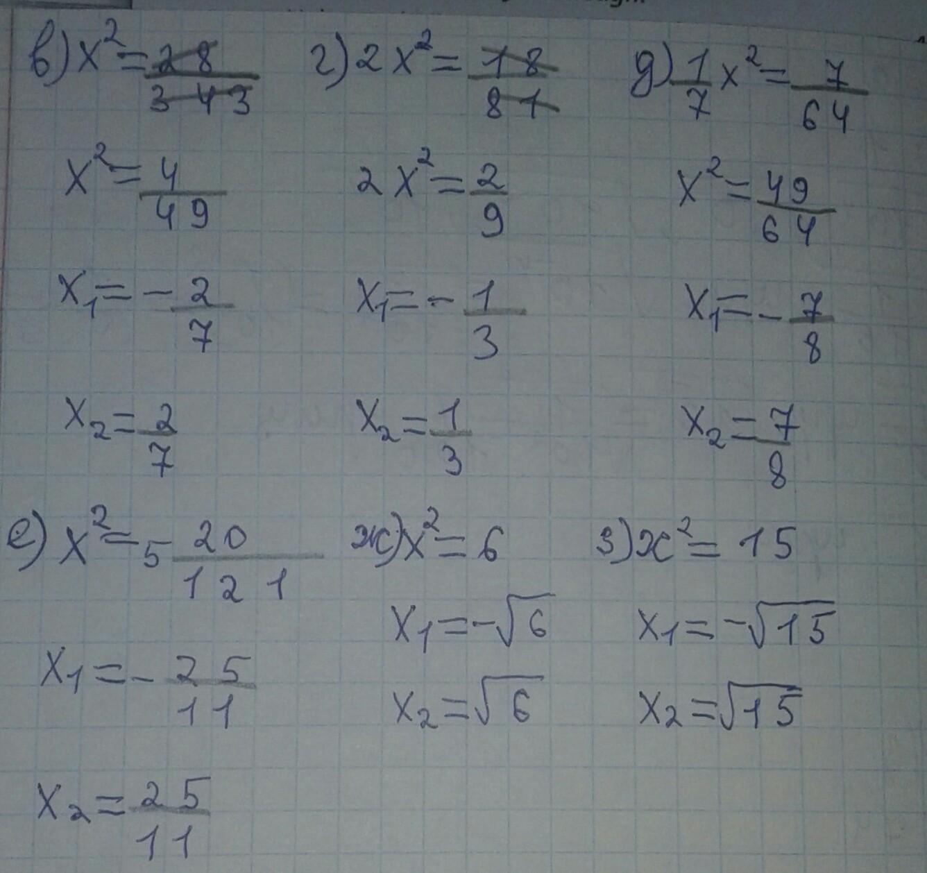
Уважаемые, решите уравнения:
(там где стоят галочки), распишите, пожалуйста, решения, не голые ответы. Спасибо, Всем.
Вот ответы в конце учебника к этому номеру:
г) [-8; 8];
д)(-знак бесконечности;-9]знак рюмка[9;+знак бесконечности);
е) x=10
Ребята, кто силен в алгебре.? Пожалуйста, решите.
Приложения:
s0807:
ответы не к этому номеру, внимательно посмотрите г и д
Ответы
Автор ответа:
1
......................
Приложения:
Похожие вопросы
Предмет: История,
автор: petrukhavaria
Предмет: Другие предметы,
автор: Gxhcjcd
Предмет: Литература,
автор: bindingbut
Предмет: История,
автор: ОлесяДэлони
Предмет: Химия,
автор: Аноним