Предмет: Алгебра,
автор: goryachevdaniloxmcy0
Помогите 11 класс алгебра
Приложения:
Ответы
Автор ответа:
1
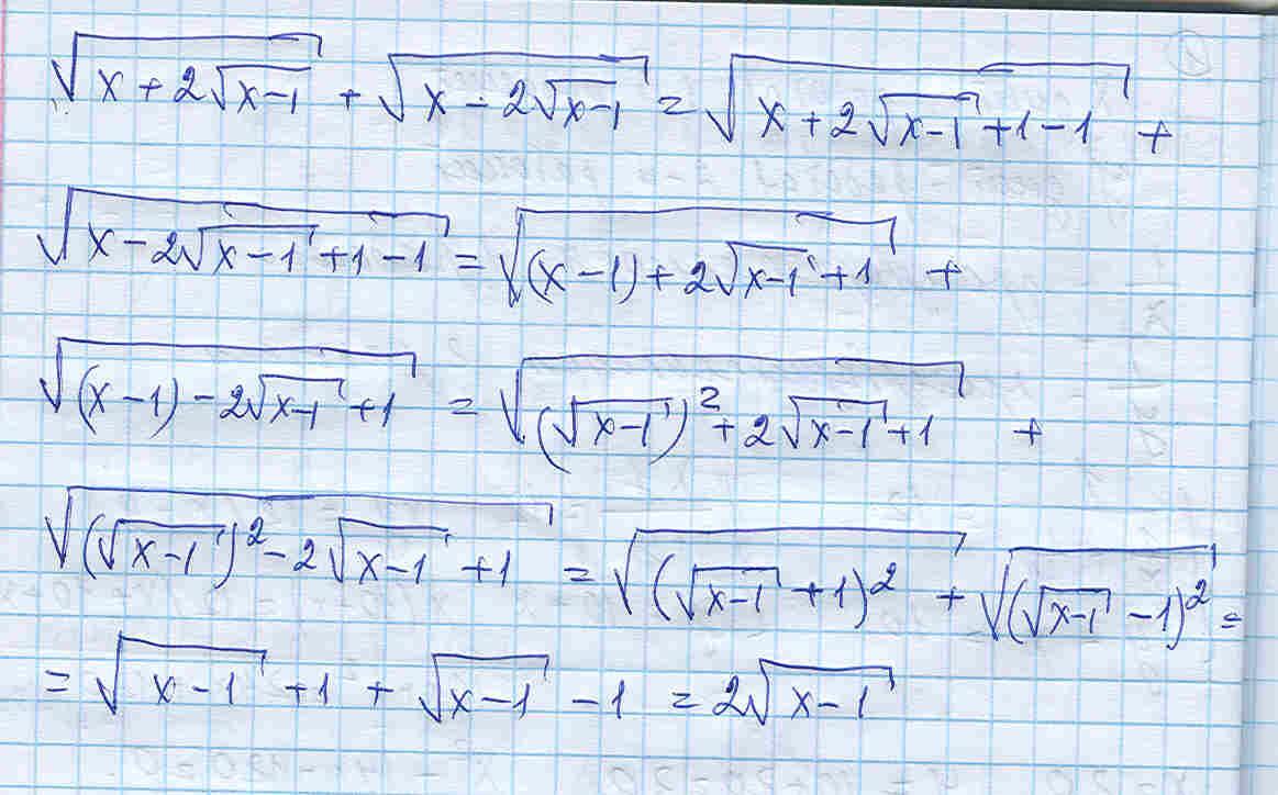
Ответ:
Объяснение:
решение ниже
Приложения:
goryachevdaniloxmcy0:
Спасибо тебе огромное, добрый человек
Можно ещё несколько примеров я просто так туплю
если смогу решить
https://znanija.com/task/32782876
Похожие вопросы
Предмет: Алгебра,
автор: mashamih2009
Предмет: Математика,
автор: Аноним
Предмет: Химия,
автор: katyagryshko12
Предмет: История,
автор: hekaterina0606
Предмет: Алгебра,
автор: Bybik228