Предмет: Алгебра,
автор: semyrviktor
АЛГЕБРА 8 класс помогите
Приложения:
Ответы
Автор ответа:
0
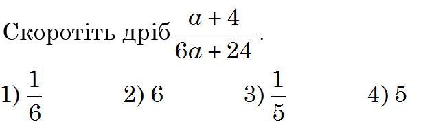
Ответ:
1)
Объяснение:
))))))))))))))))))))
Приложения:
Похожие вопросы
Предмет: Русский язык,
автор: viktoriaroceva2
Предмет: Алгебра,
автор: lololoo35
Предмет: Физика,
автор: millermoonlight05
Предмет: Химия,
автор: FufRur