Предмет: Математика,
автор: asadsadmm
СРОЧНО ЗАДАЧА ПРИКРЕПЛЕНО ИЗОБРАЖЕНИЕ
Приложения:
Ответы
Автор ответа:
0
Ответ:
35
Пошаговое объяснение:
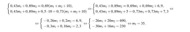
Пусть масса 43-процентного раствора кислоты — m1 кг, а масса 89-процентного —m2 Если смешать 43-процентный и 89-процентный растворы кислоты и добавить 10 кг чистой воды, получится 69-процентный раствор кислоты:
0,43m1+0,89m2=0.69(m1+m2+10) (Уравнение первое) Если бы вместо 10 кг воды добавили кг 50-процентного раствора той же кислоты, то получили бы 73-процентный раствор кислоты: (Уравнение второе )
Решая полученную систему уравнений:
Ответ: 35.
Приложения:
Похожие вопросы
Предмет: Биология,
автор: dyankovski
Предмет: Физика,
автор: makskrevskyi
Предмет: Математика,
автор: Аноним
Предмет: Химия,
автор: VitalinaTsoy
Предмет: Математика,
автор: Анастасия151617