Предмет: Алгебра,
автор: Аноним
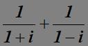
Очень срочно, не проходите мимо
Приложения:
Ответы
Автор ответа:
1
держи, вот
)))))))))))))))))))
Приложения:
Аноним:
Благодарю
Можешь пожалуйста ещё такой решить 1+i/1-i+1-i/1+i
задай вопрос. я туда скину
Хорошо
Я сделал, там 3 примера, я в тебя верю
ок
Похожие вопросы
Предмет: Окружающий мир,
автор: VNika2022
Предмет: Музыка,
автор: macsbiesiedin170109
Предмет: Геометрия,
автор: RokiGrid
Предмет: Математика,
автор: Oraaaange1356