Предмет: Физика,
автор: arina271997
Помогите срочно решить задачу
Приложения:
IUV:
0,5 А
не выше 0.333а
меньшее 0,5 А, а большее 1 А
не возражаю. решение красивое.
Ответы
Автор ответа:
1
Ответ:
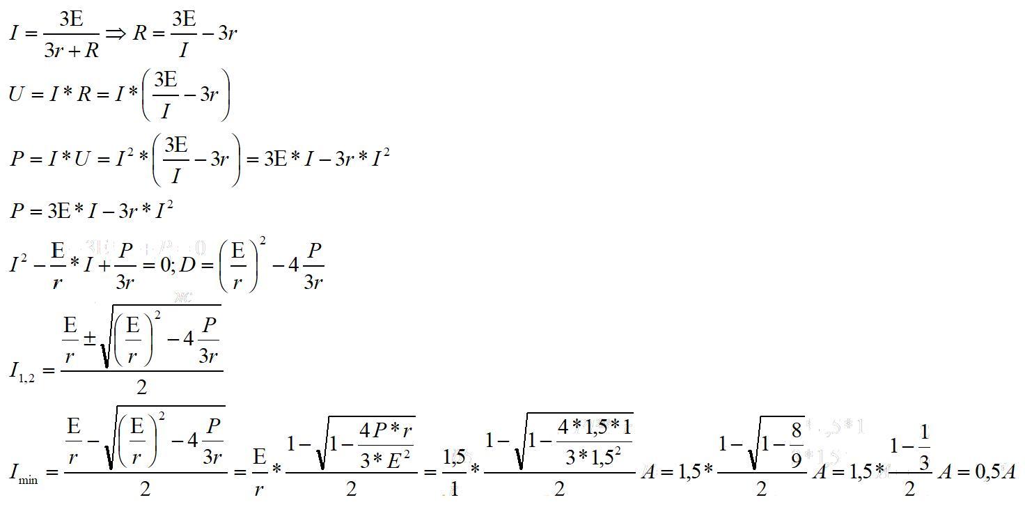
0,5 А
Объяснение:
нам неизвестно сопротивление лампы значит неизвестен и ток.
известно только что в данный момент на лампе выделяется мощность Р.
составляем уравнение для того чтобы вычислить мощность на основании известных E r и неизвестного тока I.
из этого (квадратного) уравнения относительно I находим неизвестную величину тока.
так как уравнение имеет два корня то выбираем меньший согласно условия.
решение смотрим на картинке
Приложения:
Если можно то помогите еще с этим заданием https://znanija.com/task/32736474
0.5а --? 1.5в упадёт на элементах. 2в должны вызвать ток через лампу в 0.5а, это будет 2в*0.5а=1вт и Rл=4ом
не 2 вольта а 3
3*1,5=4,5
4,5-1,5=3 !
3*1,5=4,5
4,5-1,5=3 !
да.
я не возражаю насчёт удаления.
проверил многократным пересчётом по своим ф-м и действительно ток и сопротивление лампочки сосредотачивается в области Rл=6ом при 3в и в более мелких изменениях приближается к 0.5а
Похожие вопросы
Предмет: Русский язык,
автор: Angelocik73
Предмет: Другие предметы,
автор: roman4161
Предмет: Английский язык,
автор: Nazazariy
Предмет: География,
автор: paxoti
Предмет: Алгебра,
автор: likaheadbra1n