Предмет: Алгебра,
автор: youandme123
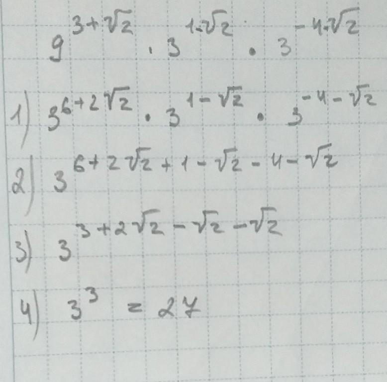
помогите решить пожалуйста. где 9
Приложения:
Ответы
Автор ответа:
1
надеюсь мой почерк будет понятен
Приложения:
youandme123:
там степени с корнями...
а, ясно. я не поняла задание
посмотрите на ответ, я решила с степенями
спасибо большое
Похожие вопросы
Предмет: Українська мова,
автор: molodec12
Предмет: История,
автор: bord444
Предмет: Биология,
автор: aselabibilaeva
Предмет: Алгебра,
автор: vladylin16