Предмет: Математика,
автор: An1tа
Помогите пожалуйста! Мне бы только ответ узнать.
Приложения:
Ответы
Автор ответа:
1
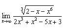
Ответ здесь нуль. т.к. максимальный показатель степени числителя 2, меньше максимального показателя степени знаменателя, а х стремится к бесконечности. Т.е. знаменатель быстрее стремится к бесконечности, нежели числитель.
nn8255241:
Здравствуйте! Не могли бы вы и мне, пожалуйста, помочь? Вот вопрос..https://znanija.com/task/32763644
Похожие вопросы
Предмет: Литература,
автор: Fhuxhfgcucucuvcu
Предмет: Другие предметы,
автор: tankm3178
Предмет: Математика,
автор: baranecdasa41
Предмет: География,
автор: Неизвестно132