Предмет: Физика,
автор: Duysenbaevaaa
помогитее пожалуйстааа
Приложения:
Ответы
Автор ответа:
1
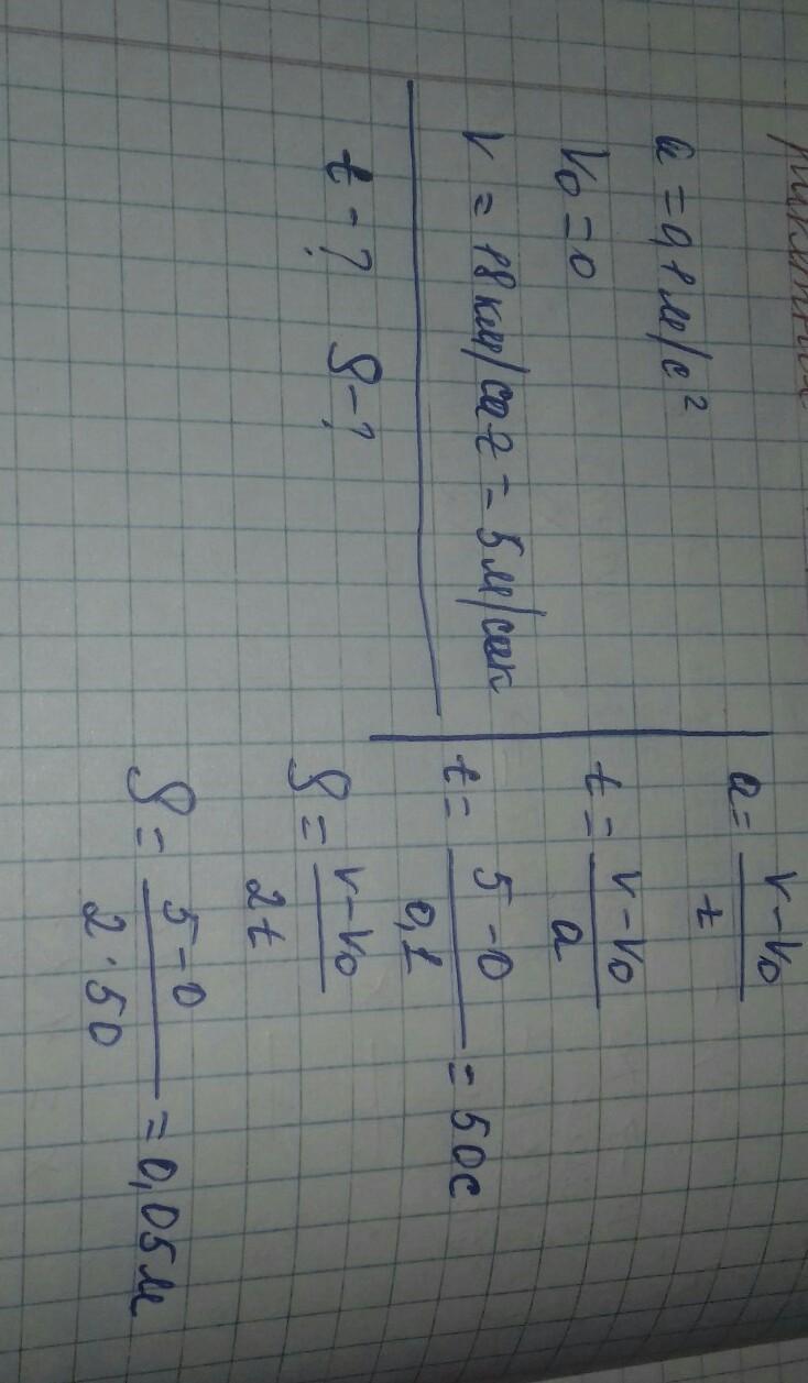
Ответ:
физиканы оқы)) өте оңай есеп.бар болғаны формула қорыта білсең болды)
Приложения:
Похожие вопросы
Предмет: Алгебра,
автор: yemetsbogdan2006
Предмет: Математика,
автор: mityshkin12648
Предмет: Русский язык,
автор: Sudar123
Предмет: Химия,
автор: Снежана10061
Предмет: Математика,
автор: Аноним