Предмет: Математика,
автор: sas4890
ПОМОГИТЕ ПОМОГИТЕ ПОМОГИТЕ ПОМОГИТЕ ПОМОГИТЕ ПОМОГИТЕ ПОМОГИТЕ ПОМОГИТЕ ПОМОГИТЕ ПОМОГИТЕ ПОМОГИТЕ ПОМОГИТЕ ПОМОГИТЕ ПОМОГИТЕ ПОМОГИТЕ ПОМОГИТЕ ПОМОГИТЕ ПОМОГИТЕ ПОМОГИТЕ ПОМОГИТЕ ПОМОГИТЕ ПОМОГИТЕ ПОМОГИТЕ ПОМОГИТЕ ПОМОГИТЕ ПОМОГИТЕ ПОМОГИТЕ ПОМОГИТЕ ПОМОГИТЕ ПОМОГИТЕ ПОМОГИТЕ ПОМОГИТЕ ПОМОГИТЕ ПОМОГИТЕ ПОМОГИТЕ ПОМОГИТЕ ПОМОГИТЕ!!!!!!!!!!!
Приложения:
Ответы
Автор ответа:
1
Ответ:
Пошаговое объяснение:
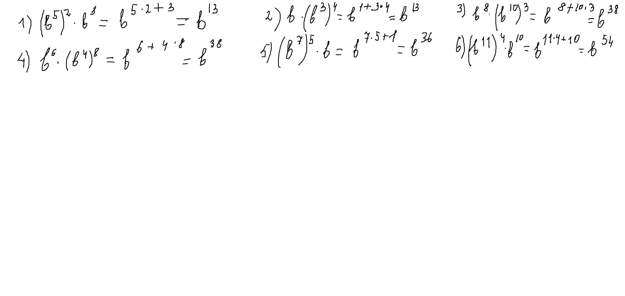
при умножении степеней с одинаковым основанием -показатели складываются,а при возведении в степень-умножаются.
Приложения:
Похожие вопросы
Предмет: Математика,
автор: kotiku156
Предмет: Математика,
автор: golubevaalexandra201
Предмет: География,
автор: Silia29
Предмет: Математика,
автор: Аноним
Предмет: Математика,
автор: vlsabishca