Предмет: Алгебра,
автор: kdkxjlez
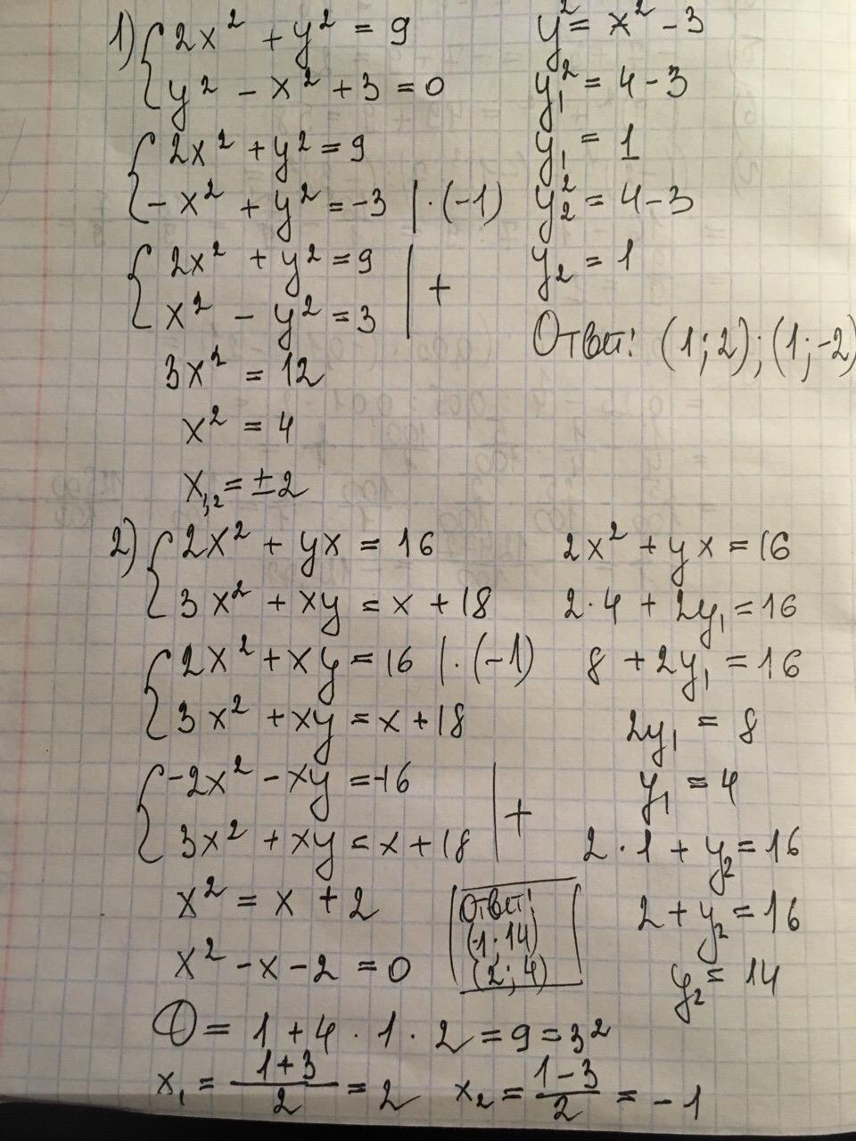
решите способом алгебраического сложения систему уравнений.
Помогите пожалуйста
Приложения:
Ответы
Автор ответа:
3
Готово, надеюсь правильно всё вычислил
Приложения:
Похожие вопросы
Предмет: История,
автор: bnodaxf
Предмет: Геометрия,
автор: vladatabasevskaia
Предмет: Українська мова,
автор: Mashafal
Предмет: Биология,
автор: alice15082005
Предмет: Физика,
автор: Аноним