Предмет: Физика,
автор: filidgi
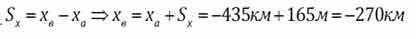
Поезд движется из пункта А с координатой xA = -435 км в пункт В. Определите координату пункта В, если проекция перемещения точки на ось ОХ равна sx = 165 км.
Помогите пожалуйста :))
Ответы
Автор ответа:
13
Ответ:
всё сокращённо))))))))))))))))
Объяснение:
Приложения:
Похожие вопросы
Предмет: Русский язык,
автор: lokki39
Предмет: Алгебра,
автор: nadiajosipenko54
Предмет: Алгебра,
автор: o2893518
Предмет: География,
автор: ann1808
Предмет: Литература,
автор: Svetik281273