Предмет: Математика,
автор: milanayegorova90
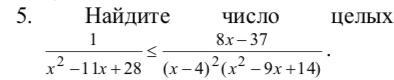
Безумно нужна ваша помощь, найдите число целых решений неравенства
Фото прикрепила
Приложения:
Ответы
Автор ответа:
1
на фото...............
Приложения:
milanayegorova90:
Безумно благодарна , спасибо Вам. И так же благодарна этому сайту, люди Вы чудо.
Похожие вопросы
Предмет: Математика,
автор: zaslonovadarina215
Предмет: Литература,
автор: kakahkaa
Предмет: Математика,
автор: valantyr28
Предмет: Физика,
автор: grvd
Предмет: Литература,
автор: краченко