Предмет: Алгебра,
автор: Nelya546
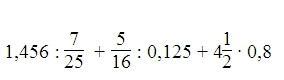
Допоможіть будь ласка, треба обчислити значення виразу
Дуже терминово!!
Приложения:
Ответы
Автор ответа:
0
Ответ:
11,3
Объяснение:
или если сразу переводить в десятичные дроби
5,2+2,5+3,6=11,3
Приложения:
Похожие вопросы
Предмет: Математика,
автор: fotimaabidova97
Предмет: Физика,
автор: kagitinadiana
Предмет: Геометрия,
автор: Fertilo
Предмет: Математика,
автор: fdanil185