Предмет: Геометрия,
автор: PrOCizy
!!!!!СРОЧНО!!!!! Решите задачу, пожалуйста
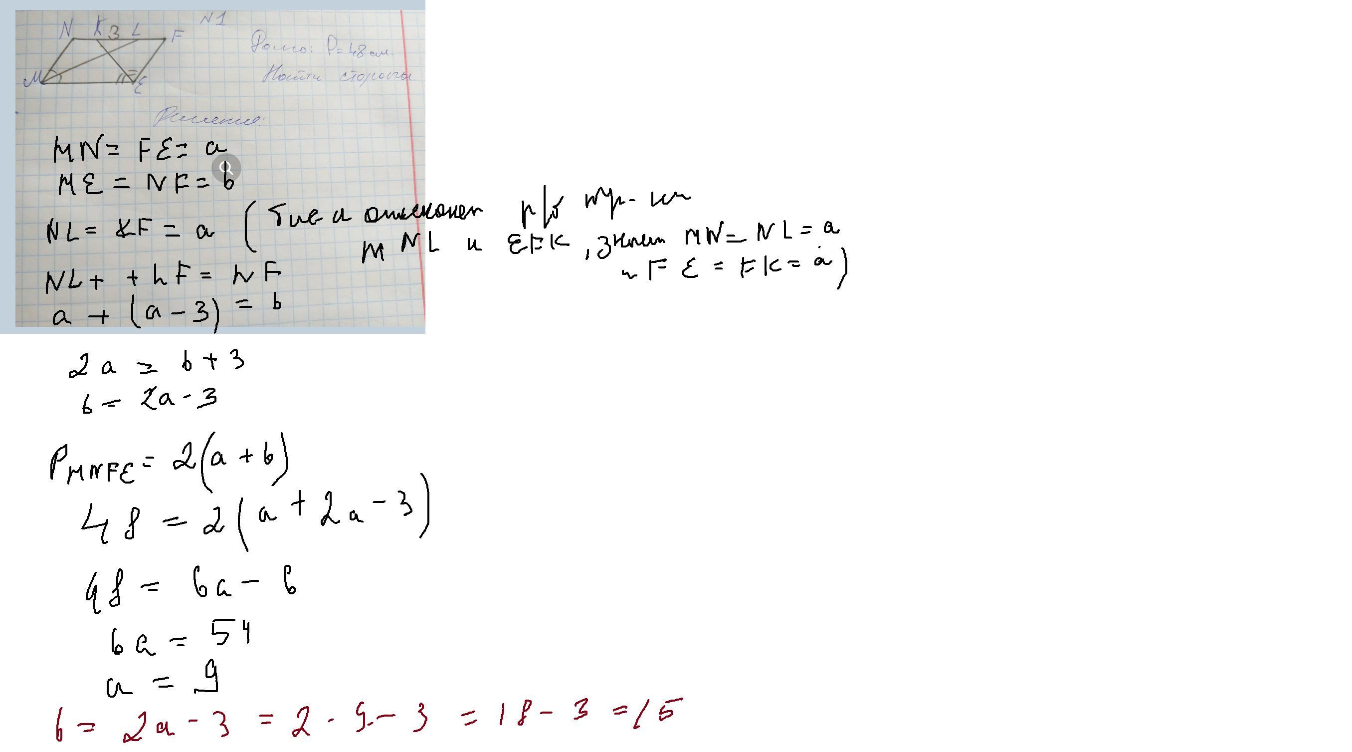
Дано: P пар-ма = 48 см, KL = 3, Найти стороны пар-ма. Рисунок в закрепе с доп данными
Приложения:
Ответы
Автор ответа:
1
Ответ:
Объяснение:
!СРОЧНО!!!!! Решите задачу, пожалуйста
Приложения:
Похожие вопросы
Предмет: География,
автор: sashaukv9
Предмет: Математика,
автор: pirmatovahmed
Предмет: Математика,
автор: katasidorcuk05
Предмет: Физика,
автор: isma48
Предмет: Математика,
автор: Аноним