Предмет: Алгебра,
автор: fybk4521
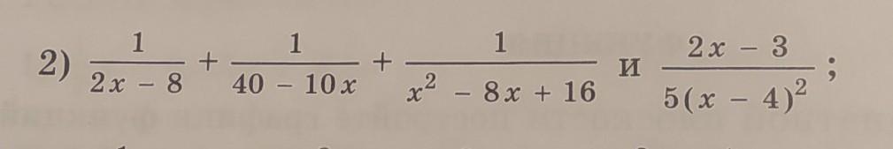
пожалуйста помогите решить
Приложения:
Janeke:
А задание то какое?
Ответы
Автор ответа:
0
Редактируй свой вопрос и добавь само задание.
Похожие вопросы
Предмет: Английский язык,
автор: michailkomissarov09
Предмет: Геометрия,
автор: meldinroman66
Предмет: История,
автор: bogdanplehov7
Предмет: Алгебра,
автор: CattiRouse
Предмет: Биология,
автор: doktorkon228