Предмет: Алгебра, автор: slava2006280

помогите пожалуйста
даю 30 баллов​

Приложения:

Ответы

Автор ответа: NNNLLL54
1

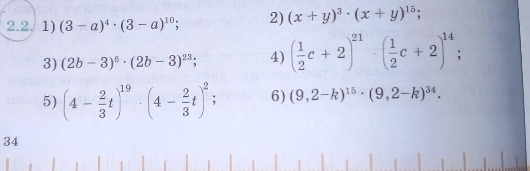
(3-a)^4\cdot (3-a)^{10}=(3-a)^{14}\\\\(x+y)^3\cdot (x+y)^{15}=(x+y)^{18}\\\\(2b-3)^6\cdot (2b-3)^{23}=(2b-3)^{29}\\\\(\frac{1}{2}\, c+2)^{21}\cdot (\frac{1}{2}\, c+2)^{14}=(\frac{1}{2}\, c+2)^{35}\\\\(4-\frac{2}{3}\, t)^{19}\cdot (4-\frac{2}{3}\, t)^{2}=(4-\frac{2}{3}\, t)^{21}\\\\(9,2-k)^{15}\cdot (9,2-k)^{34}=(9,2-k)^{49}

Похожие вопросы
Предмет: Окружающий мир, автор: Аноним
Предмет: Химия, автор: Lera870007443