Предмет: Геометрия,
автор: vardananasmik28
СРОЧНО!
РЕШИТЕ ПОЖАЛУЙСТА 5 ЗАДАЧУ, НУЖНО РЕШЕНИЕ, ПОПОДРОБНЕЕ!
ЗАРАНЕЕ СПАСИБО
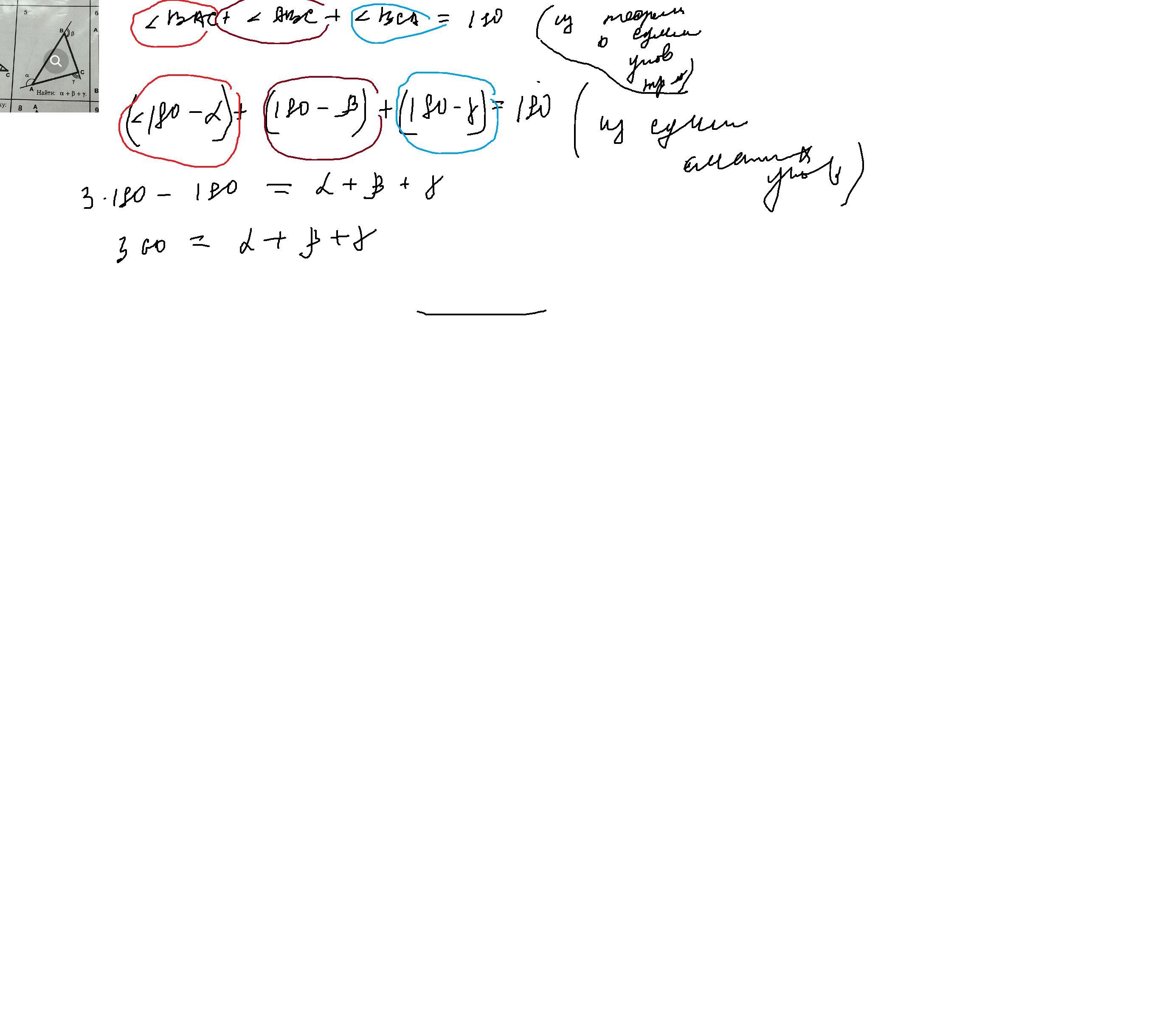
Приложения:
Ответы
Автор ответа:
1
Ответ:
Объяснение:РЕШИТЕ ПОЖАЛУЙСТА
Приложения:
Похожие вопросы
Предмет: Математика,
автор: glusukdiana3
Предмет: Химия,
автор: ana21012009
Предмет: Химия,
автор: masyni123
Предмет: Математика,
автор: 1337Likerr
Предмет: Геометрия,
автор: Аноним