Предмет: Алгебра,
автор: artem564426
решите плиз срочно плачу все баллы
Приложения:
Ответы
Автор ответа:
2
Ответ:
держи ответ)))))))))))))))))
Приложения:
Автор ответа:
0
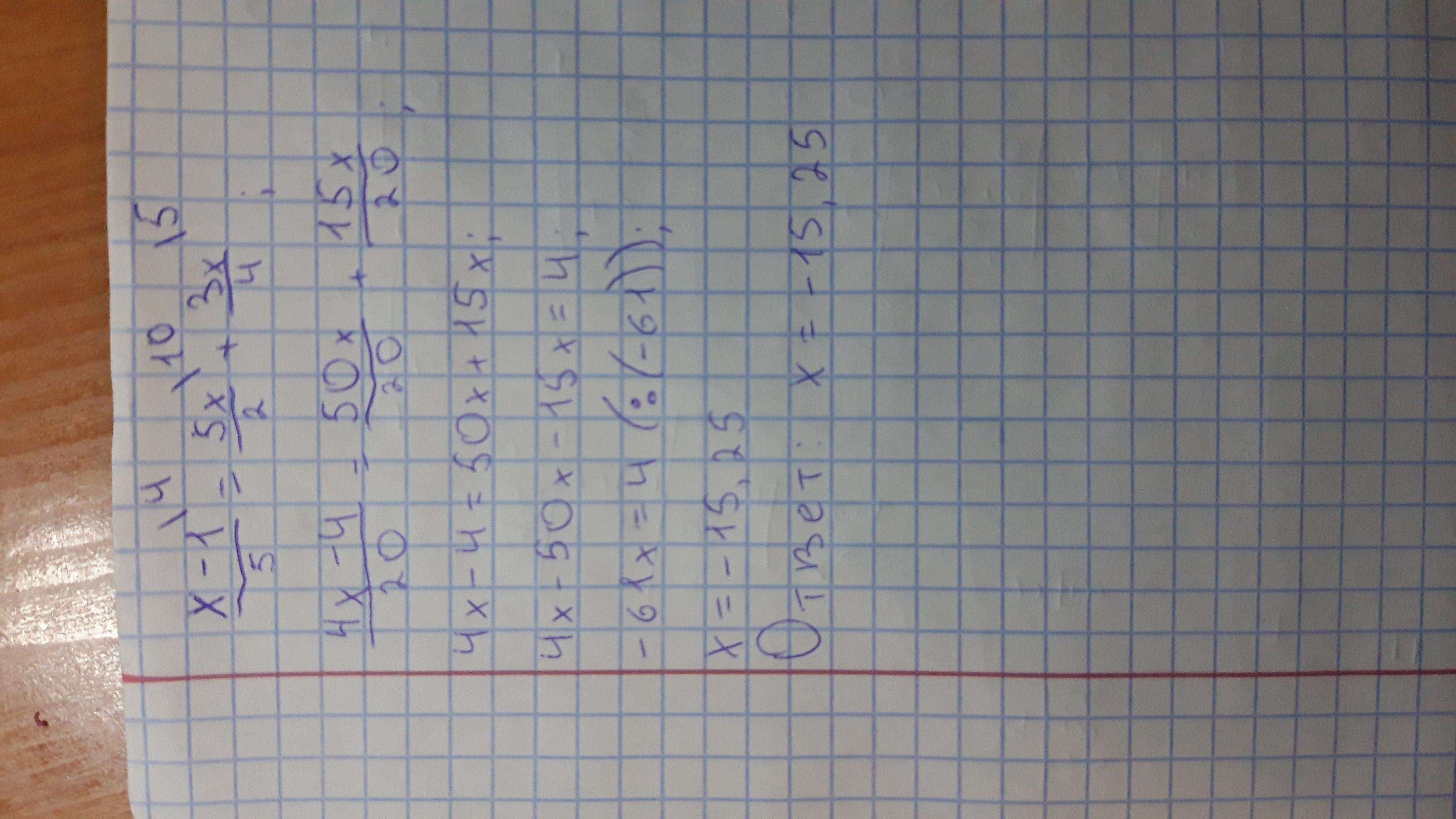
Ответ: х=-15,25
Объяснение:
1)Приводим к общему знаменателю
2)Потом всё под одну черту дроби
3)И решаем.
Приложения:
Похожие вопросы
Предмет: Литература,
автор: patimatmagomedova872
Предмет: Химия,
автор: aoaoooa
Предмет: Физика,
автор: okjawerly
Предмет: Алгебра,
автор: 321Александр123
Предмет: История,
автор: VARYA31433