Предмет: Алгебра,
автор: lenamotspan
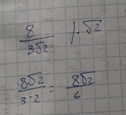
РЕБЯТУШКИ, совсем подзабыла решения задач , связанными с корнями.Помогите, пожалуйста. 8\3√2. Я знаю, что нужно избавиться иррациональности.Но забыла именно как
Ответы
Автор ответа:
1
все на фото, очень просто
Приложения:
lenamotspan:
Спасибо.Ато совсем чё-то подзабыла.А 8 и 6 можно же ещё сократить?
А то*
Похожие вопросы
Предмет: Астрономия,
автор: luninasvetlana1972
Предмет: Математика,
автор: katy428
Предмет: Математика,
автор: oilabuvbomko
Предмет: Право,
автор: Rustem1899
Предмет: Алгебра,
автор: DikeiYoutube