Предмет: Алгебра,
автор: суперbalda
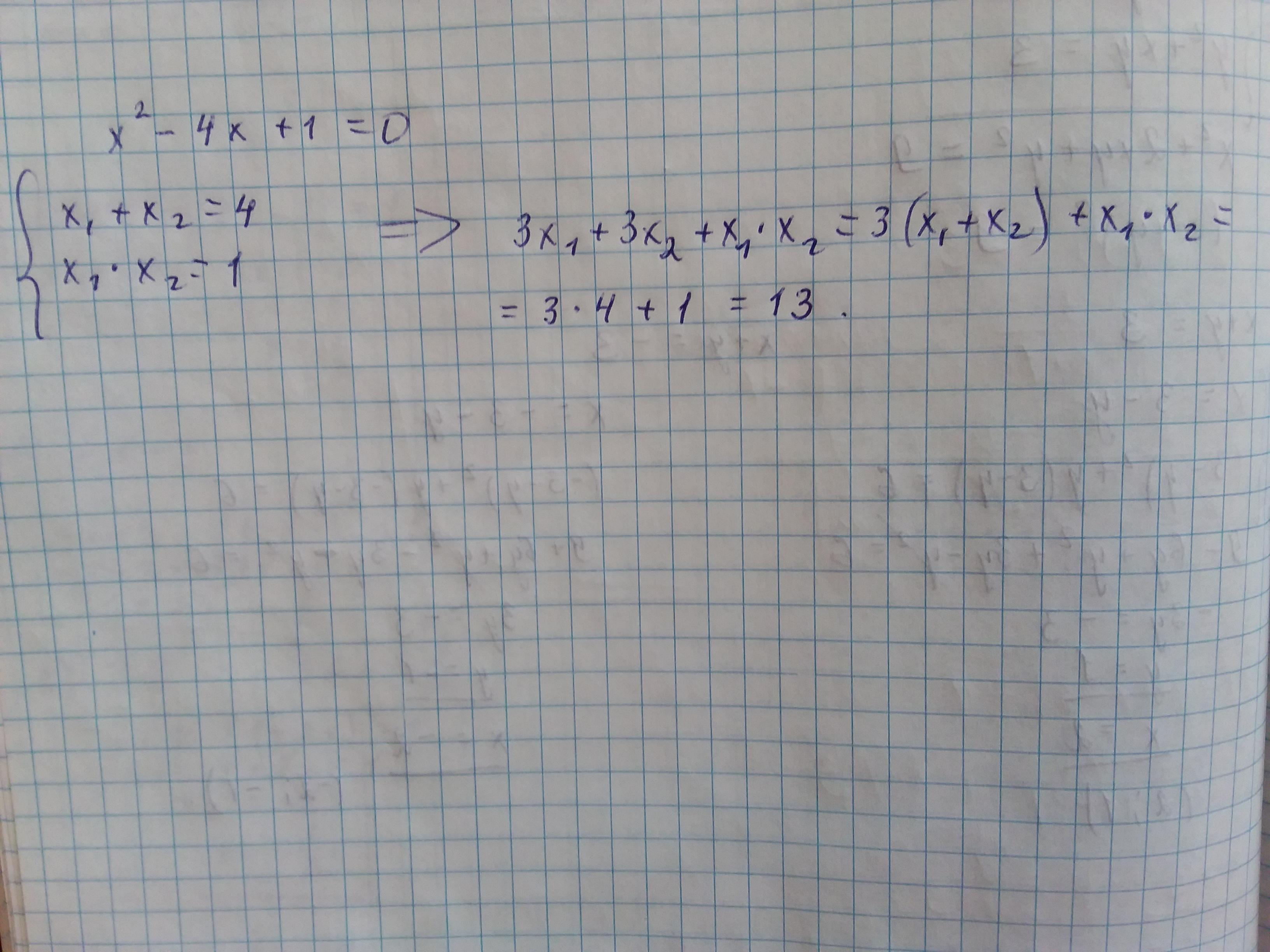
Пусть x1 и x2 - это различные корни уравнения x^2 - 4x + 1. Найдите значение выражения 3*x1 + 3*x2 + x1*x2.
Ответ: 13.
Напишите решение пожалуйста.
Ответы
Автор ответа:
1
на фото.................
Приложения:
суперbalda:
Огромное спасибо
Очень выручила
Похожие вопросы
Предмет: Алгебра,
автор: bazukilla9
Предмет: Английский язык,
автор: Shalagina2010
Предмет: Алгебра,
автор: maximkatoroch
Предмет: Литература,
автор: bugaevskiy