Предмет: Алгебра,
автор: Ааа5678
Упростить:
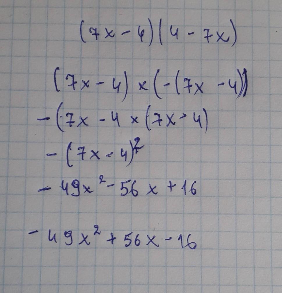
(7x-4)(4-7x)
С ОБЪЯСНЕНИЕМ
Ответы
Автор ответа:
0
Объяснение:
ето должно быть правильно
Приложения:
Автор ответа:
0
Ответ:
Объяснение:
1) Ставим перед скобкой «-», и меняем числа в первых скобках наоборот.
2) По формуле (a-b)(a-b)=(a-b)^2 сокращаем выражение.
Приложения:
Похожие вопросы
Предмет: Математика,
автор: oykasfufthv
Предмет: Математика,
автор: ammik19
Предмет: Алгебра,
автор: victoriaa51
Предмет: Физика,
автор: natasyakatya
Предмет: Биология,
автор: fulir678