Предмет: Алгебра,
автор: Chelivechek9
помогите, кто-нибудь
Приложения:
Ответы
Автор ответа:
1
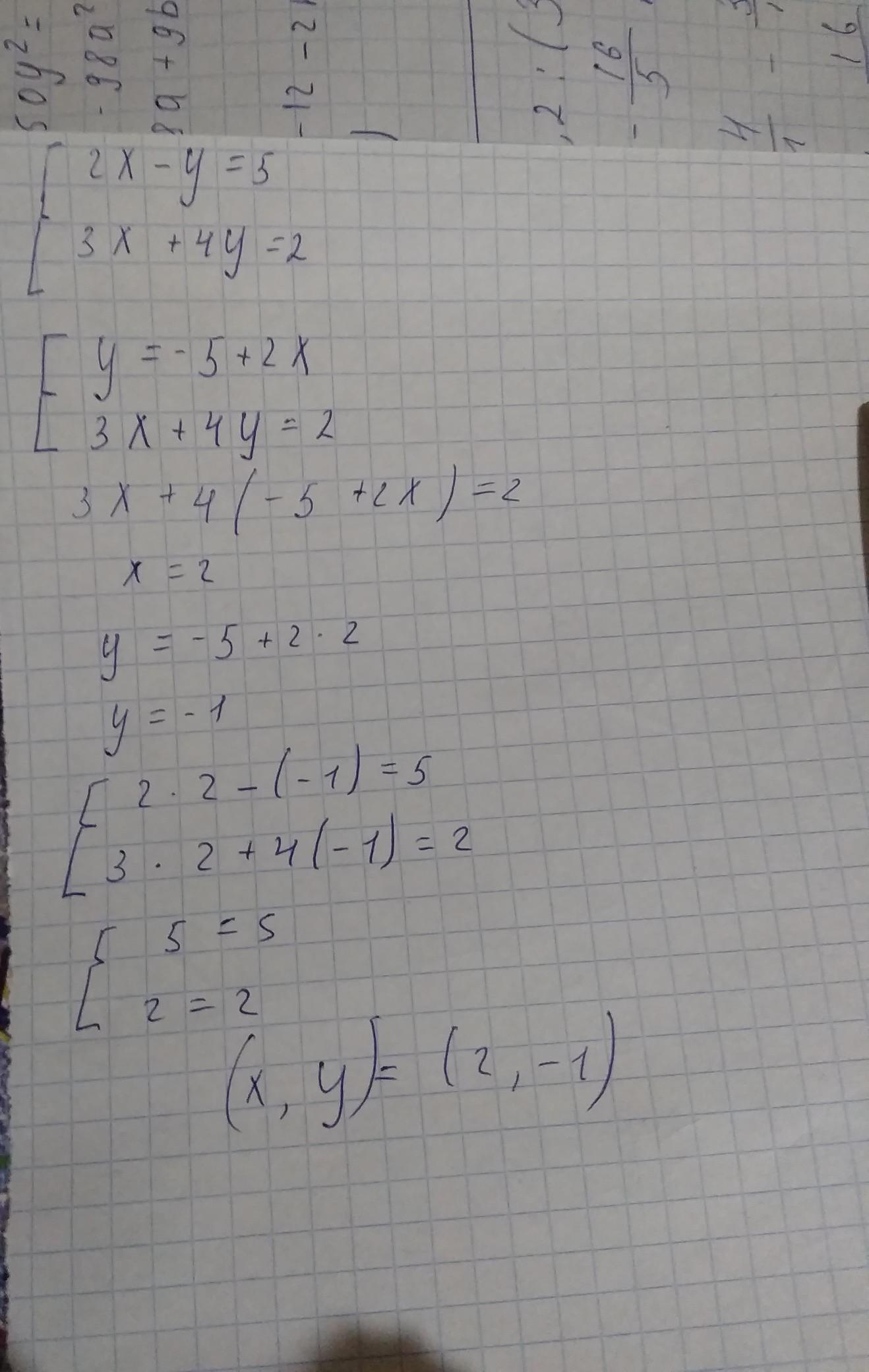
ответ во вложении смотри там
Приложения:
Автор ответа:
1
Ответ:
извиняюсь за почерк....
Приложения:
Chelivechek9:
нормальный подчерк
Похожие вопросы
Предмет: Биология,
автор: jenek008
Предмет: Английский язык,
автор: maloypubger
Предмет: Биология,
автор: artemmazurenko291
Предмет: Математика,
автор: marisha341
Предмет: Биология,
автор: zalalovagulzoda