Предмет: Математика,
автор: qqqqaq
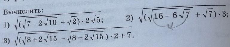
Помогите решить второй и третий пример, пожалуйста всё подробно распишите
Приложения:
Ответы
Автор ответа:
0
Смотреть фото, всё расписано!
Приложения:
Похожие вопросы
Предмет: Українська література,
автор: julamouse
Предмет: Информатика,
автор: petrik080808
Предмет: Алгебра,
автор: utolik85
Предмет: Математика,
автор: Nekki11
Предмет: Математика,
автор: 89122223014