Предмет: Алгебра, автор: DearQ

Помогите пожалуйста! Очень надо! ​

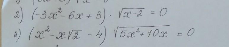
Приложения:

Ответы

Автор ответа: KuOV
0

Ответ:

        2) 2;

        3) - 2; 0; 2√2.

Объяснение:

2) (- 3x² - 6x + 3) · √(x - 2) = 0

Область определения уравнения:

x - 2 ≥ 0

x ≥ 2

Произведение равно нулю, если хотя бы один из множителей равен нулю:

- 3x² - 6x + 3 = 0         или         √(x - 2) = 0

x² + 2x - 1 = 0                                x = 2

D = 4 + 4 = 8

x₁ = (- 2 + 2√2) / 2 = - 1 + √2 - не входит в область определения уравнения.

x₂ = (- 2 - 2√2) / 2 = - 1 - √2 - не входит в область определения уравнения.

Ответ: 2.

3) (x² - x√2 - 4) · √(5x² + 10x) = 0

Область определения уравнения:

5x² + 10x ≥ 0

x(x + 2) ≥ 0

Решаем методом интервалов (см рис.)

x ∈ (- ∞ ; - 2] ∪ [0 ; + ∞)

Произведение равно нулю, если хотя бы один из множителей равен нулю:

x² - x√2 - 4 = 0         или      5x² + 10x = 0

D = 2 + 16 = 18                     x = 0   или   x = - 2

x₁ = (√2 + 3√2) / 2 = 2√2

x₂ = (√2 - 3√2) / 2 = - √2 - не входит в область определения уравнения.

Ответ: - 2; 0; 2√2.

Приложения:
Похожие вопросы
Предмет: Химия, автор: melkayalestrangee