Предмет: Математика,
автор: pomidorkasvezhaya
Помогите, пожалуйста, срочно
100 баллов
Приложения:
Ответы
Автор ответа:
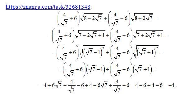
1
Ответ:
-4
Пошаговое объяснение:
Решение в приложении.
Приложения:
Автор ответа:
0
( 4/√7 + 6 ) * √(8 - 2√7) + ( 4/√7 - 6 ) * √(8 + 2√7) =
// расклад. в множителях √(8-2√7) и √(8+2√7) число 8 как сумму (7+1) //
= ( 4/√7 + 6 ) * √(7 + 1 - 2√7) + ( 4/√7 - 6 ) * √(7 + 1 + 2√7) =
= ( 4/√7 + 6 ) * √(7 - 2√7 + 1) + ( 4/√7 - 6 ) * √(7 + 2√7 + 1) =
// сворачиваем выражения по ф-лам квадрата разности и суммы //
= ( 4/√7 + 6 ) * √(√7 - 1)² + ( 4/√7 - 6 ) * √(√7 + 1)² =
= ( 4/√7 + 6 ) * (√7 - 1) + ( 4/√7 - 6 ) * (√7 + 1) =
= ( 4/√7 * √7 - 4/√7 + 6√7 - 6 ) + (4/√7 * √7 + 4/√7 - 6√7 - 6 =
= 4 - 4√7 + 6√7 - 6 + 4 + 4/√7 - 6√7 - 6 =
= 4 - 6 + 4 - 6 = - 4
Похожие вопросы
Предмет: История,
автор: angelinabalovsak
Предмет: Геометрия,
автор: superkolobok814
Предмет: Алгебра,
автор: Diana201992Youggg
Предмет: Математика,
автор: Наргиз96
Предмет: Химия,
автор: gelya6328