Предмет: Физика,
автор: anilanister
ФИЗИКА 9 КЛАСС. НУЖНО ПРОСТО ОБЪЯСНИТЬ!!!!
Пожалуйста, помогите понять почему расстояние находили по теореме Пифагора ( ответ у них правильный). ЕСЛИ НЕТРУДНО ОБЪЯСНИТЕ ВСЮ ЗАДАЧУ. УМОЛЯЮ
Приложения:
Ответы
Автор ответа:
0
Ответ:
Объяснение
Как тебе что-то объяснить, не зная условия задачи?
Я полагаю, что у тебя там в задаче изображена фигура, или работа с графиками, может быть, ПРУД под углом к горизонту.
Но что касается графика или рисунка, то если тебе были даны в этом треугольнике стороны, то ты можешь спокойно искать гипотенузу по теореме пифагора, тк V1,V2,V3 - это лишь условные обозначения сторон треугольника. Тебе могли обозначить его ABC и дать каждой стороне соответствующую скорость. Задача плевая, в следующем году ты познакомишься с МКТ, где 70% задач будет по графикам, и тебе прийдется часто прибегать к простым геометрическим вычислениям, чтобы найти искомую величину.
anilanister:
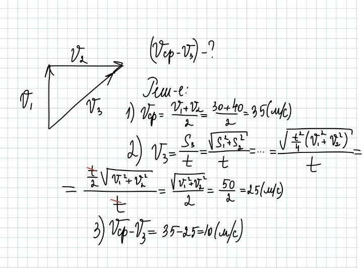
Первую половину времени движения вертолет перемещался на север со скоростью. модуль которой v1=30м/c .а вторую половину времени-на восток со скоростью. модуль которой v2=40м/c разность между средней путевой скоростью и модулем скорости перемещения составляет
Это условие задачи. По теорме Пифагора я хотела найти v3. Но никак не S. Прошу, объясните чуть понятливей
График не был дан, надо было рисовать самостоятельно
Похожие вопросы
Предмет: Алгебра,
автор: suhorykovavika
Предмет: Математика,
автор: Аноним
Предмет: Физика,
автор: sasharomanov256
Предмет: Обществознание,
автор: KaЙFyN
Предмет: Математика,
автор: Нечеловек2