Предмет: Математика,
автор: katya935292
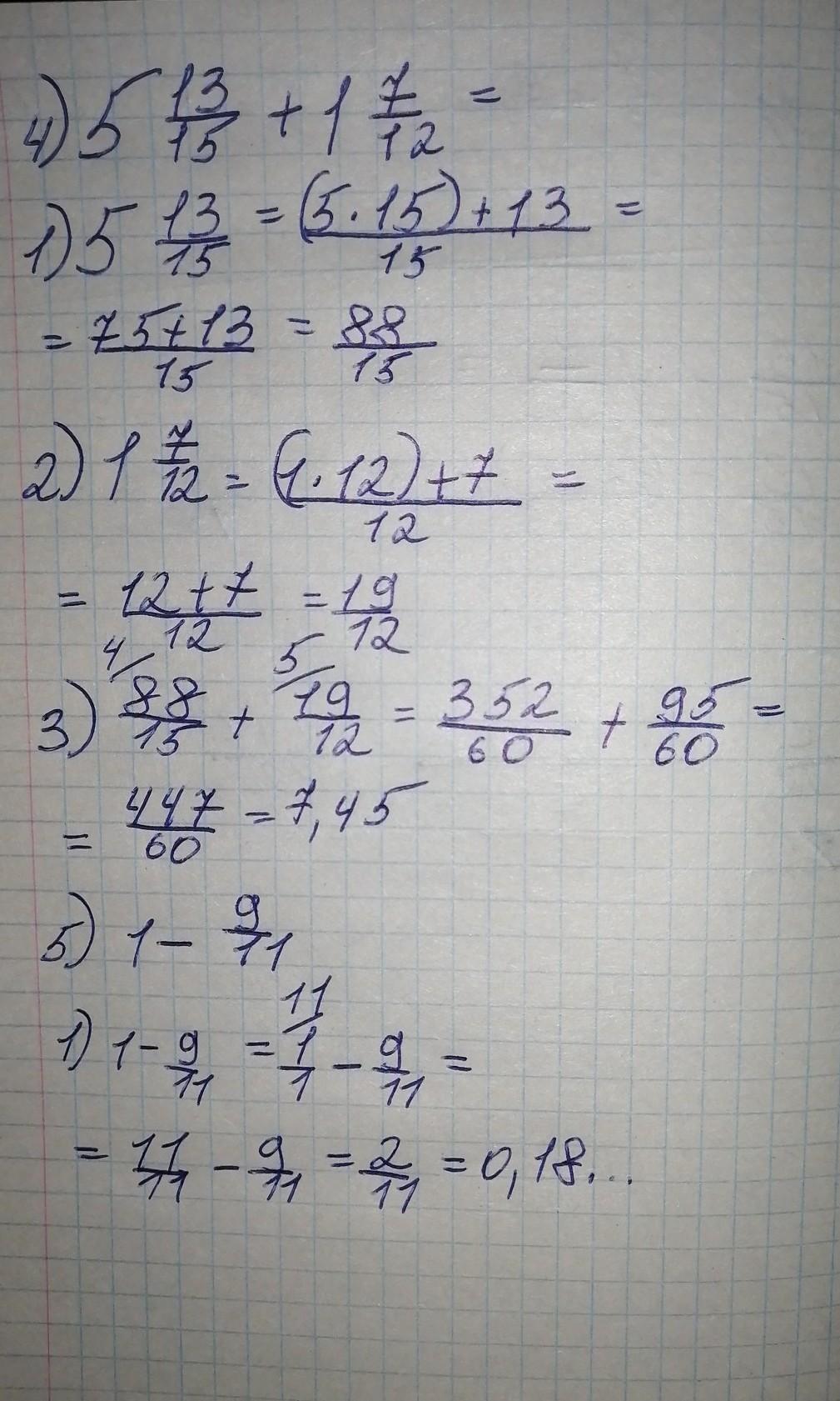
Объясните как это решать пожалуйста!!!!
Приложения:
Ответы
Автор ответа:
1
Ответ:
В прикреплённом файле
Приложения:
Похожие вопросы
Предмет: Литература,
автор: dusekeevaadelia570
Предмет: Физика,
автор: fifer22855
Предмет: Алгебра,
автор: Sergep24
Предмет: Биология,
автор: katerina0110199