Предмет: Алгебра,
автор: fluff0
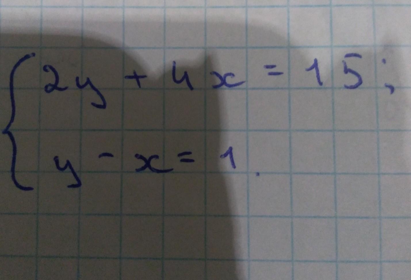
Графически решить систему уравнений :
Приложения:
Ответы
Автор ответа:
1
Решение во вложении.
Приложения:
Похожие вопросы
Предмет: Другие предметы,
автор: rustamovumedzon6
Предмет: Физика,
автор: felixli093
Предмет: Английский язык,
автор: mvasiliev243
Предмет: География,
автор: YuliaXeip
Предмет: История,
автор: вадик72