Предмет: Математика, автор: zavorinromankzord

Помагите решить второе решение

Приложения:

Ответы

Автор ответа: MrSolution
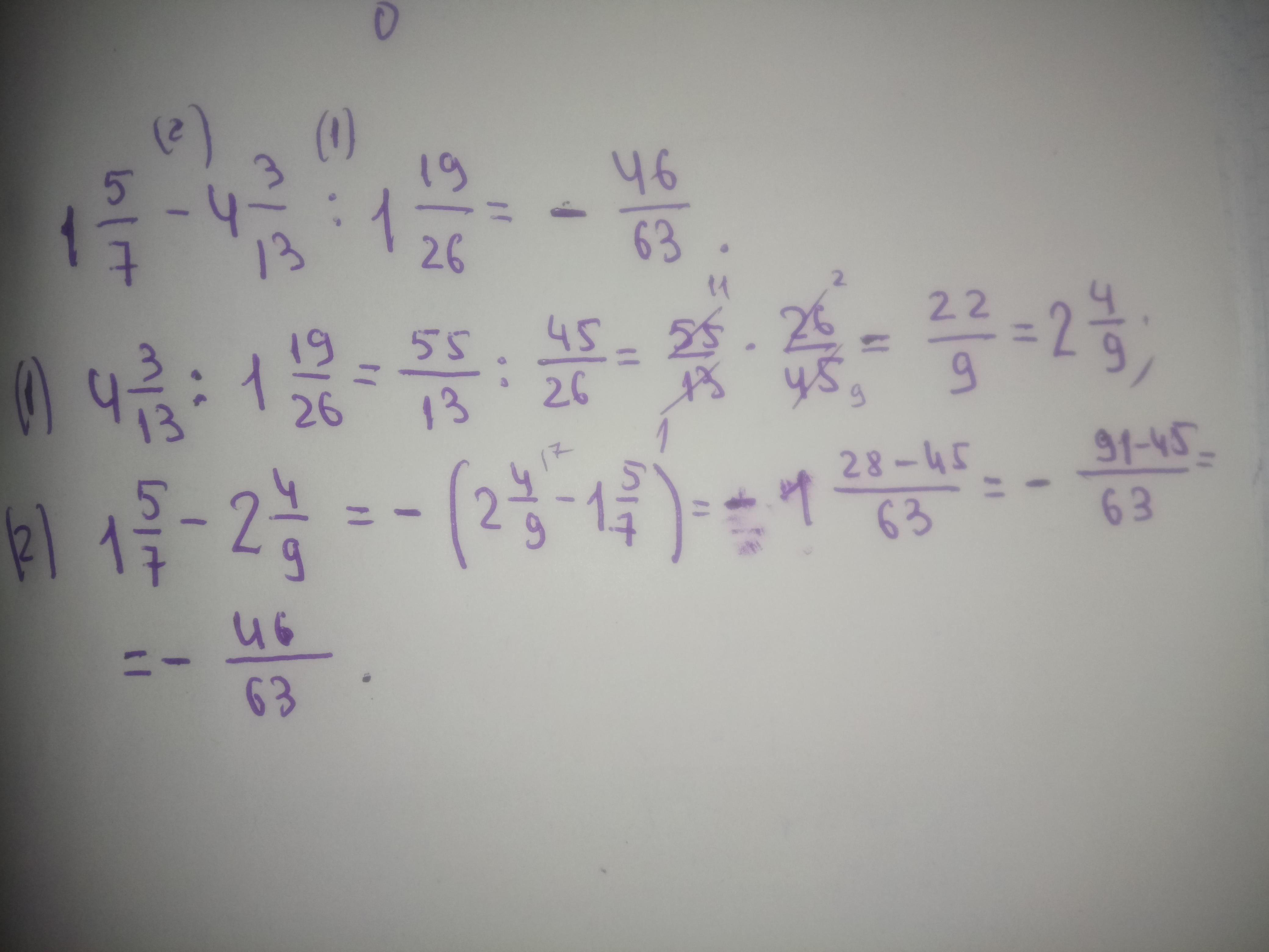
1

Ответ:

 -  \frac{46}{63}

Пошаговое объяснение:

Первым делом выполним деление смешанных дробей. Для этого приведемих к неправильным и "перевернем" вторую дробь, после чего выполним перемножение.

4 \frac{3}{13}  \div 1 \frac{19}{26}  =  \frac{55}{13}  \times  \frac{26}{45}  =  \frac{55 \times 26}{13 \times45}  =  \frac{22}{9}

Теперь выполним вычитание, переведя первую дробь в неправильную и обе их к общему знаменателю:

1 \frac{5}{7}  -  \frac{22}{9}  =  \frac{12}{7}  -  \frac{22}{9}  =  \frac{108 - 154}{63}  =  -  \frac{46}{63}

Автор ответа: Аноним
1

Решение задания приложено

Приложения:
Похожие вопросы
Предмет: Українська мова, автор: balaskevic7