Предмет: Математика,
автор: ivankryzinovskij02
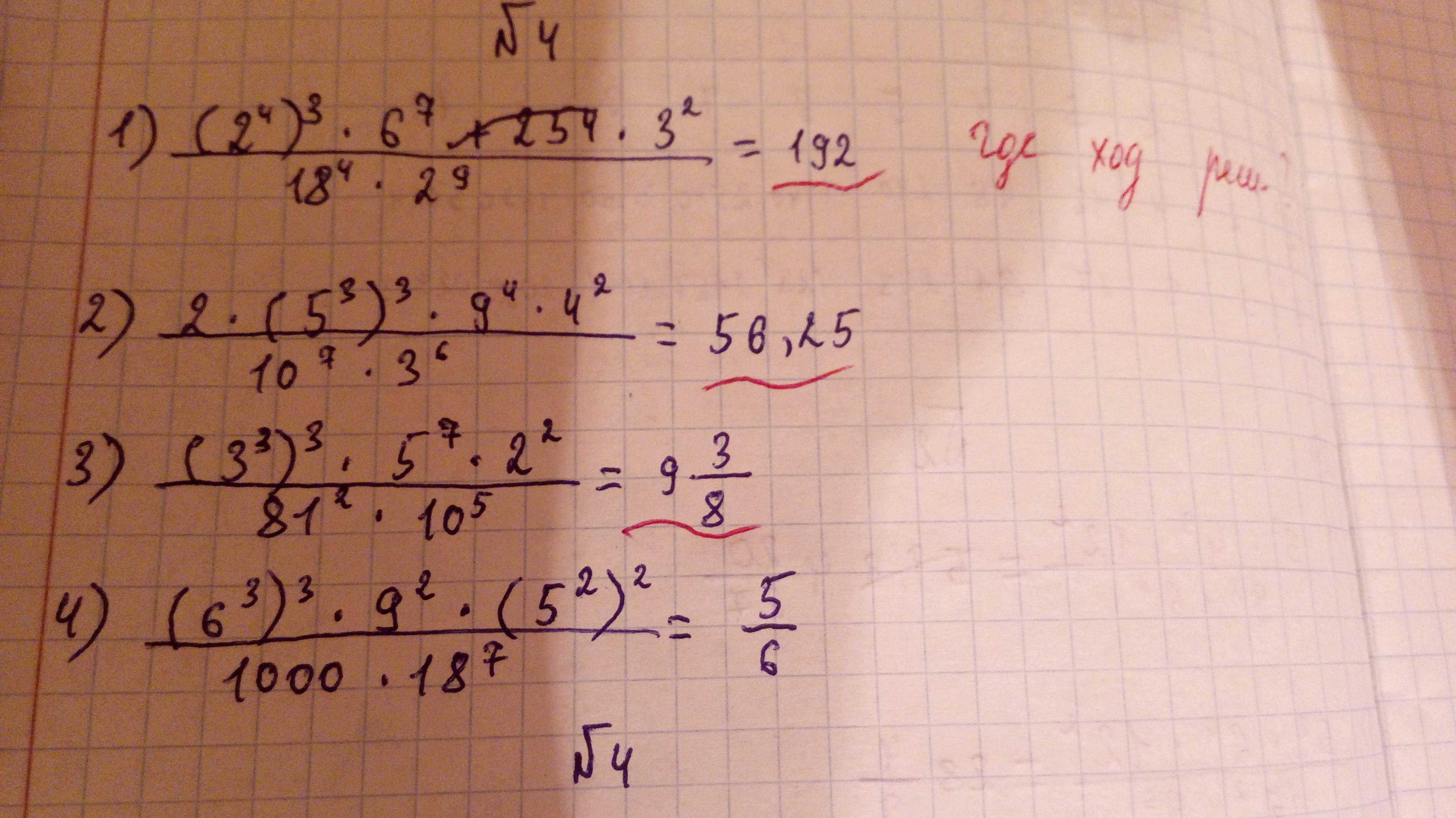
Помогите срочно!!!! Умоляю!!!! Нужен ход решения и ответ
Приложения:
Ответы
Автор ответа:
1
Ответ:
Пошаговое объяснение:
!!!!!!!!!!!!!!!!!!!!!
Приложения:
ivankryzinovskij02:
Спасибо тебе огромное вручил очень сильно!!!!!!!!!!!!!!!!!
Похожие вопросы
Предмет: Қазақ тiлi,
автор: madinautarova2009
Предмет: Геометрия,
автор: Uchenickkkkkkk
Предмет: Алгебра,
автор: Клубничка20000
Предмет: Математика,
автор: Fakkibuk
Предмет: Литература,
автор: Рудольф88