Предмет: Алгебра,
автор: ssshhiiitt
пожалуйста, помогите решить систему способом подстановки :сссссс
Приложения:
Ответы
Автор ответа:
0
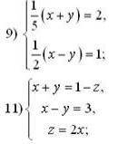
9)Приведем дроби к общему знаменателю
х+у=10
х-у=2
из второго уравнения х=у+2, подставим в первое и получим уравнение относительно у, а именно у+2+у=10, откуда 2у=8, у=4, тогда х=4+2=6
Ответ (6;4)
10)
х+у=1-z
x-y=3
z=2x
Вместо z в первое уравнение подставим 2x, а вместо у=х-3, получим
х+х-3=1-2х, 4х=4, откуда х=1, тогда z=2*1=2, у=1-3=-2
Ответ (1; -2; 2)
Похожие вопросы
Предмет: История,
автор: nozaninma90
Предмет: Математика,
автор: vanacilak
Предмет: Геометрия,
автор: dzangievasabina
Предмет: История,
автор: JKid
Предмет: Математика,
автор: megik1