Предмет: Алгебра, автор: bayanbei

Система Икс плюс игрек равно 6 икс квадрат минус игрек квадрат равно 12

Ответы

Автор ответа: ArinaPa75
1

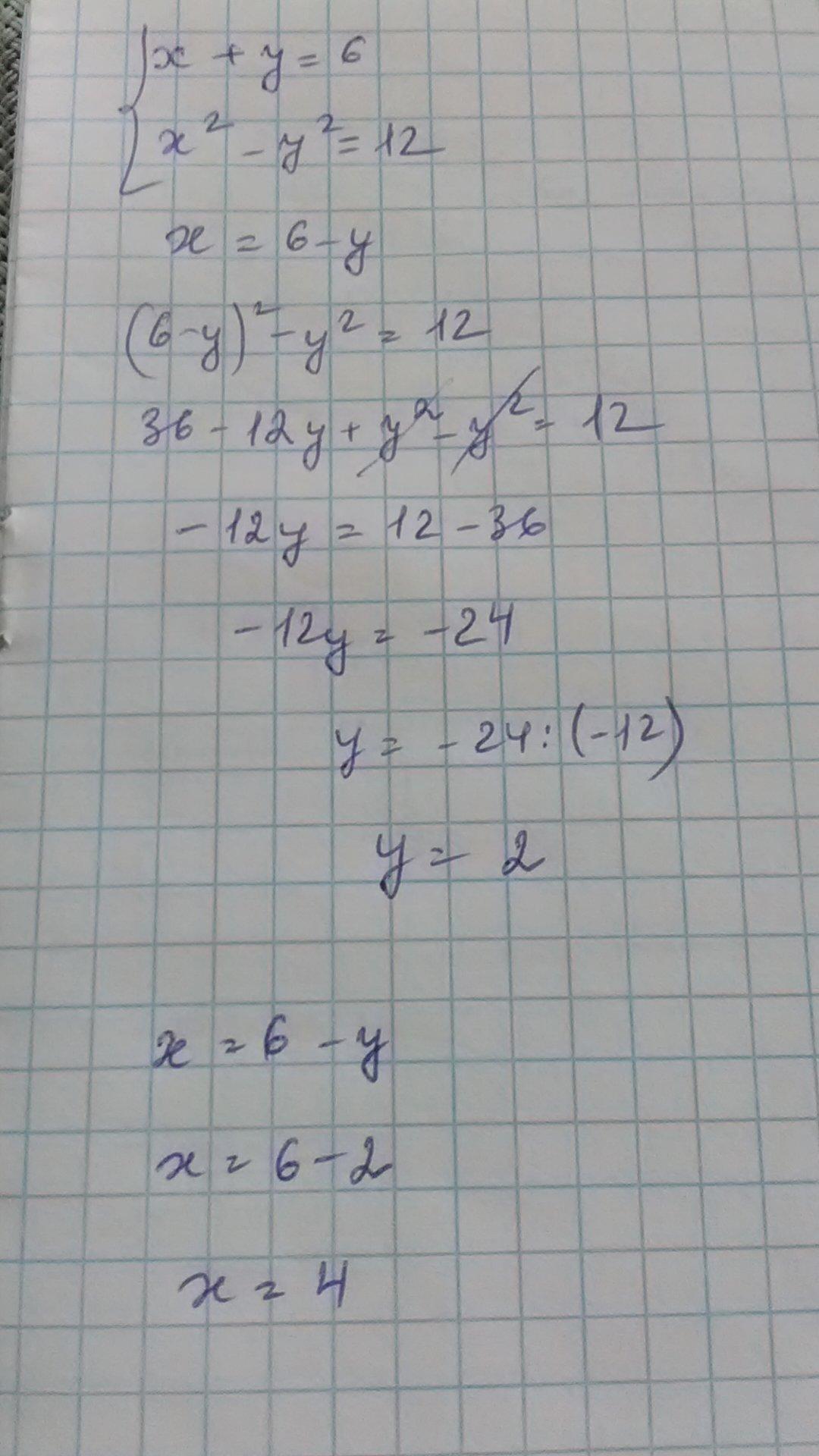
Ответ: х=4, у=2

Объяснение: на фото

Приложения:
Автор ответа: drakerton
2

Ответ:

\left \{ {{x+y=6} \atop {x^{2} + y^{2} =12}} \right.

x = 6 - y

Подставляем в нижнее уравнение:

(6-y)^{2} - y^{2} = 12

36 - 12y + y^{2} - y^{2} = 12

36 - 12y = 12 |:12

3 - y = 1

y = 2

x = 6 - y

x = 6 - 2 = 4

Удачи!

Похожие вопросы
Предмет: Математика, автор: LayaBurnel