Предмет: Математика,
автор: AiwanKozlow123
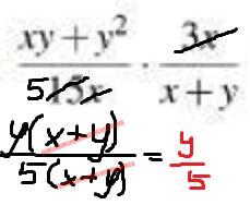
Как решить этот номер??
Приложения:
Ответы
Автор ответа:
1
.................
у=7,5
7,5/5=1,5
Приложения:
Автор ответа:
1
......::................
Приложения:
Похожие вопросы
Предмет: Английский язык,
автор: Andrysha267
Предмет: История,
автор: tolstobebrikTOP
Предмет: Геометрия,
автор: giunelmamedova2008
Предмет: Литература,
автор: 6163295v
Предмет: Музыка,
автор: Ками111111111e